Поверхностно-активные полимеры
Поверхностно-активные полимеры, или полимерные ПАВ, получили широкое распространение в последние 20 лет и сейчас используются во многих технологиях. Чаще всего их применяют для стабилизации дисперсий и для регулирования реологических свойств.
Поверхностно-активные полимеры: способы конструирования
Полимер, обладающий поверхностной активностью, можно построить одним из трех главных способов: прививать гидрофобные цепи к гидрофильному полимерному остову (основной цепи), прививать гидрофильные цепи к гидрофобному полимерному остову либо чередовать в макромолекуле гидрофильные и гидрофобные участки. Ниже рассматриваются все три способа.
Поверхностно-активные полимеры распространены и в природе; с тремя главными типами таких соединений мы встречаемся и в растительном, и в животном мире. Роль гидрофильных участков часто выполняют заряженные или нейтральные полисахариды. Антитела (белковые молекулы) обычно содержат остатки углеводов в виде боковых цепей на большом расстоянии от области связывания антигена. Их основная функция заключается в увеличении гидрофильное этого относительно гидрофобного белка. Белки молока и слюны содержат большое количество связанных фосфатных групп и поэтому обладают высокой поверхностной активностью, прекрасно стабилизируя капли жира.
Классификация поверхностно-активных полимеров на три указанные выше группы не является исчерпывающей. На самом деле для получения определенного высокомолекулярного вещества можно комбинировать несколько (два или более) из указанных путей создания поверхностно-активных полимеров. Например, полимерная цепь поверхностно-активного полимера может состоять из чередующихся гидрофильных и гидрофобных участков, а кроме того содержать гидрофильные или гидрофобные боковые цепи. Такую молекулу можно одновременно считать блок-сополимером и привитым сополимером. Привитой сополимер может также содержать гидрофобные и гидрофильные боковые цепи.
С физико-химической точки зрения важным свойством подобных макромолекул является их способность самоориентироваться на поверхности таким образом, что гидрофильные участки оказываются в полярном окружении, а гидрофобные — в липофильной фазе. Поверхностное натяжение раствора при этом понижается, поэтому такой полимер, по определению, поверхностно-активный.
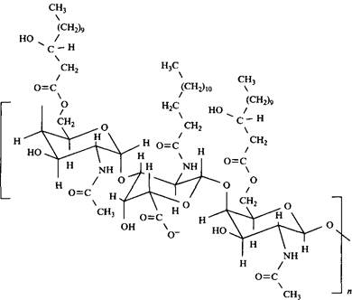
Полимеры с гидрофильной основной цепью и гидрофобными боковыми цепями
Такой тип привитых сополимеров распространен в природе. Микроорганизмы с относительно высокими выходами производят липополисахариды. Было предпринято много попыток использования этого природного источника для получения продукта в промышленных масштабах. Хорошо известный пример такого ПАВ — эмульсан. Это фирменное торговое название полианионного липополисахарида, производимого в качестве внеклеточного продукта бактериями Acinetobacter calcoaceticus. Гетерополисахаридный остов состоит из повторяющихся трисахаридов, несущих отрицательный заряд. Жирнокислот-ные цепи присоединены к полисахариду через сложноэфирные связи. Степень замещения и тип жирной кислоты можно варьировать. Типичная структура такого полимерного ПАВ приведена на рис. 2.
Действие тогда еще неизвестного эмульсана впервые наблюдалось при спонтанном эмульгировании сырой нефти и морской воды на морском побережье. Были выделены бактерии, производящие эмульгирующий агент. Исследования этого агента показали, что он является высокомолекулярным поверхностно-активным веществом. При более глубоком исследовании было обнаружено, что эти бактерии выделяют два поверхностно-активных компонента, участвующих в процессе эмульгирования: низкомолекулярный пептид, обладающий очень высокой поверхностной активностью и являющийся чрезвычайно эффективным эмульгатором, и липополисахарид с молекулярной массой ~106, который выполняет роль эффективного стабилизатора образующихся эмульсий. Компоненты обычно находятся в соотношении 1:9 по массе. Название «эмульсан» иногда употребляют для этой комбинации пептид-полисахарид, а иногда только для липополисахарида; далее под эмульсаном мы будем подразумевать только липополисахарид. Этот случай является хорошей иллюстрацией того, как природа использует поверхностно-активные полимеры: не для создания эмульсий, а для их стабилизации, если эмульгирование происходит под действием низкомолекулярного поверхностно-активного вещества. Действительно, полимерные ПАВ обычно не годятся для эмульгирования из-за их медленной диффузии к возникающим межфазным поверхностям.
Рис. 1. Некоторые примеры полимеров, состоящих из гидрофильной основной полимерной цепи и гидрофобных боковых групп
Рис. 2. Структура эмульсана
Ниже перечислены основные свойства эмульсана:
1) умеренно снижает поверхностное и межфазное натяжение;
2) обнаруживает ярко выраженное сродство к межфазным границам масло-вода;
3) сам по себе не является эффективным эмульгатором;
4) чрезвычайно эффективный стабилизатор эмульсий масел (но только определенных) в воде (но не воды в масле);
5) специфичен к границе раздела (субстрату) и составу водной фазы, его свойства наилучшим образом проявляются в присутствии двухзарядных катионов.
Молекулы эмульсана обладают лишь умеренной поверхностной активностью. В его присутствии межфазное натяжение, например, в системе вода-гексадекан снижается с 47 до 30 мН/м; это совсем небольшое понижение межфазного натяжения. Комбинация липополисахарида с пептидом понижает межфазное натяжение в той же системе до 14 мН/м. Эмульсан нерастворим в обеих жидких фазах (в воде и масле), поэтому его сродство к межфазной границе очень велико, что и определяет его высокую способность стабилизировать эмульсии.
Избирательность эмульсана по отношению к типу масляной фазы поразительна. Стабильные эмульсии «масло в воде» образуются только с маслами определенного состава, т.е. определенной комбинацией углеводородов. Наибольшая эффективность стабилизации эмульсий достигается для смеси алифатических углеводородов и алкиларильных соединений, что близко к составу тяжелой сырой нефти. Такой состав является субстратом, к которому должны быть адаптированы бактерии, производящие эмульсан. Выделение эмульсана бактериями — это путь увеличения площади межфазной границы сырая нефть-вода, на которой они живут.
Большие надежды были связана с эмульгирующей способностью эмульсана. Получение высококонцентрированных эмульсий сырой нефти в воде рассматривалось, как средство превратить чрезвычайно вязкие тяжелые масла в достаточно мобильные системы, которые можно перекачивать по трубопроводам. В то время, когда разрабатывался эмульсан, эта возможность представляла особый интерес для транспорта нефти с Аляски на основную территорию США. Эмульсию сырой нефти в воде с 75%-ным содержанием нефти, получаемую с применением эмульсана в качестве стабилизатора, можно было бы сжигать без предварительного удаления воды (подобно сжиганию концентрированных суспензий угля).
