Поверхностно-активные полимеры
Все усилия использовать эмульсан в качестве эмульгатора нефтяных эмульсий для транспорта по трубопроводам натолкнулись на непреодолимое препятствие, связанное с тем, что эмульсан подвергается ферментативному гидролизу. Разрушение стабилизатора эмульсий во время транспортировки приводило к коалесценции эмульсий, что сильно затрудняло транспорт. В настоящее время использование эмульсана значительно снизилось, он используется в основном для мытья нефтяных танков.
Эмульсан — наиболее известный биополимер, обладающий поверхностной активностью и использующийся в промышленности. В то же время ведутся разработки путей применения и производства других липополисахаридов, выделяемых микроорганизмами (как бактериями, так и грибами). К этим исследованиям особый интерес проявляет косметическая промышленность. Процессы получения таких биологических поверхностно-активных веществ достаточно сложные и трудоемкие, а стоимость продукта относительно высока. Но следует ожидать, что в обозримом будущем разница в цене био-ПАВ и синтетических ПАВ будет сокращаться.
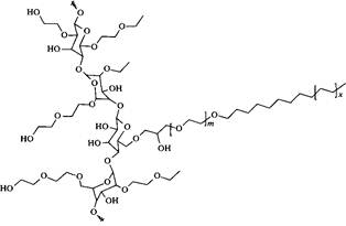
Природные полисахариды можно химически модифицировать, присоединяя длинные алкильные или алкиларильные цепи, и получить вещества, эквивалентные липополисахаридам. Один из возможных путей получения таких производных показан на рис. 3. В качестве исходного гидрофильного полимера взят крахмал, представляющий собой смесь линейной амилозы и сильно разветвленного амилопектина. В амилопектине можно селективно разрушить поперечные связи с помощью фермента, избирательно действующего только на 1,6-глюкозидные связи. Образующийся линейный полисахарид окисляется до альдегидов (и, возможно, до кетонов), которые затем вступают в реакцию с алифатическим амином. Степень замещения должна быть низкой (не более 10%), что легко регулируется соотношением алифатического амина и ангидроглюкозидных циклов. В противном случае возникают проблемы с растворимостью.
Рис. 3. Превращение крахмала в поверхностно-активный полимер. На схеме окисление происходит только у 6-го атома углерода ангидроглюкозидного фрагмента. В действительности окисление может приводить к раскрытию кольца между 2 и 3-м атомами углерода с образованием альдегидных групп в этих положениях. Эти альдегидные группы также подвергаются восстановительному аминированию алифатическими аминами
Аналогичный тип превращений можно провести с целлюлозой (рис. 4). Обычно целлюлозе дают набухнуть в сильной щелочи (мерсеризация); затем проводят реакцию этого полурастворенного материала с этиленоксидом и ал-килхлоридом. Если использовать короткую алкильную группу, например этильную, образующийся продукт обладает умеренной поверхностной активностью. При замене некоторого количества этильных групп на более длинные алифатические цепи получается полимер с высокой поверхностной активностью. Такие привитые сополимеры выпускаются в промышленном масштабе и называются «ассоциирующими загустителями». Они используются для придания водным композициям (например, водо-основным краскам) необходимых реологических свойств. Только небольшая доля ангидроглюкозидных циклов должна нести длинноцепочечные алкильные группы, поскольку в противном случае продукт теряет растворимость в воде. В зависимости от условий, в которых протекает реакция, гидрофобные заместители могут более или менее хаотично распределяться вдоль полисахаридного скелета. От распределения заместителей зависят физико-химические свойства продукта. Наибольшей поверхностной активностью обладают полимеры, в которых участки с высокой степенью замещения ангидроглюкозидных колец чередуются с участками с низкой плотностью замещения. Однако распределение заместителей контролировать нелегко, особенно при проведении крупномасштабного синтеза.
Рис. 4. Структура целлюлозы, которая была модифицирована этиленоксидом и ал кил хлоридом
Полимеры с гидрофобной основной цепью и гидрофильными боковыми цепями.
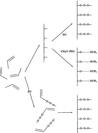
Природным продуктом этого класса являются гликопротеины, хотя полипептидную цепь, безусловно, нельзя считать полностью гидрофобной. Многие гликозилированные белки можно рассматривать как комбинацию привитых и блок-сополимеров, поскольку полипептидная цепь часто содержит гидрофильные и гидрофобные участки. Некоторые типы синтетических привитых сополимеров рассматриваемого типа приведены на рис. 5. В настоящее время большой интерес вызывают сополимеры с поли-этиленглколиевыми (ПЭГ) «хвостами». Они служат эффективными стерическими стабилизаторами для различных дисперсий. На рис. 6 представлены три способа получения ПЭГ-замещенных полиакрилатов.
Все три метода в принципе могут быть реализованы в промышленном масштабе. Этоксилированные мономеры (производные акрилатов) являются промышленно производимыми мономерами.
Как было отмечено выше, этот тип привитых сополимеров нашел применение в качестве стерических стабилизаторов дисперсий, в частности в производстве красок. Другое интересное применение этих поверхностно-активных полимеров состоит в модифицировании твердых поверхностей для предотвращения адсорбции белков и других биологических молекул. Полимеры этого типа адсорбируются с образованием монослоя на гидрофобной поверхности, причем адсорбция протекает исключительно за счет взаимодействия гидрофобной полимерной цепи с поверхностью, а цепи ПЭГ ориентируются к водной фразе. Уже установлено, что такой способ покрытия поверхности цепями ПЭГ эффективен для снижения адсорбции белков и, как следствие, снижения адгезии клеток к поверхности твердого тела. По опубликованным данным, полученным в опытах in vitro и in vivo, ПЭГ-покрытия заметно подавляют адсорбцию белков плазмы крови и адгезию тромбоцитов, что снижает риск тромбообразования.
Рис. 5. Некоторые полимеры с гидрофобной основной цепью и гидрофильными боковыми цепями
Рис. 6. ПЭГ-Модифицированные полиакрилаты можно получить различными путями. Верхний путь — этоксилирование полиакрилата, содержащего вдоль цепи гидроксиэтильные группы. Средний путь — реакция полиакрилата, содержащего сложноэфирные метальные группы, с монометиловым эфиром ПЭГ. Постоянное удаление метанола в течение реакции приводит к эффективной пере-этерификации. Нижний путь — полимеризация этоксилированного акрилата. Этоксилированный мономер сополимеризуется с обычными мономерами, например с акриловой или метакриловой кислотами
Инертный характер ПЭГ-модифицированных поверхностей объясняется свойствами полимера в растворе и тем, что полимер не имеет заряда. Из-за большого дипольного момента полимер сильно сольватирован водой. В то же время его гомологи полиоксиметилен и полиоксипропилен, как и его изомер полиаце-тальдегид, не растворяются в воде и поэтому не используются для получения гидрофильных привитых полимеров.
Способность ПЭГ предотвращать адсорбцию белков и других биомолекул на поверхностях можно рассматривать как эффект стерической стабилизации (рис. 7). Такой тип стабилизации обычно можно представить в виде двух вкладов: упругого и осмотического. Упругая составляющая (или ограничение объема) определяется уменьшением конформационной энтропии при сближении двух поверхностей из-за уменьшения объема, доступного для каждого полимерного сегмента. При подходе молекулы белка к поверхности, модифицированной ПЭГ, возникает сила отталкивания из-за потери конформационной свободы полиоксиэтиленовых цепей.
