Поверхностно-активные полимеры
Осмотические взаимодействия (или взаимодействия смешения) возникают из-за повышения концентрации полимера при сжатии двух поверхностей. Когда молекула белка или любая другая большая молекула в водном растворе подходит к поверхности, число возможных конформаций сегментов ПЭГ уменьшается из-за сжатия или взаимного проникновения полимерных цепей. Кроме того, возникает отталкивание осмотической природы. Какой именно процесс будет протекать в системе (сжатие или взаимное проникновение цепей, или оба эти процесса), определяется плотностью цепей ПЭГ. При плотной прививке ПЭГ к полимерному остову преимущественно происходит сжатие, а при менее плотной прививке доминирует взаимное проникновение цепей.
Рис. 7. Отторжение белков поверхностями, модифицированными ПЭГ
Для предотвращения адсорбции белков на твердых поверхностях также весьма перспективны незаряженные полисахариды. Так, покрытие поверхностей декстранами делает их инертными, причем механизм отторжения биомолекул, по-видимому, аналогичен рассмотренному выше для ПЭГ. В то же время эти два типа полимеров по-разному реагируют на изменение температуры. ПЭГ и его производные чувствительны к температуре, вызываемая ими стерическая стабилизация ухудшается с увеличением температуры. Декстраны относительно малочувствительны к изменениям температуры.
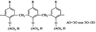
Этоксилированные или этоксилированные и пропоксилированные феноло-формальдегидные смолы, особенно типа новолаков, нашли применение в качестве компонентов, обеспечивающих стерическую стабилизацию в покрытиях. Блок-сополимеры ЭО-ПЭО также широко используются в качестве деэмульгаторов нефтей. Алкиларильные фрагменты образуют сильно гидрофобную основную цепь, которая прочно связывается с наиболее гидрофобными поверхностями, что позволяет использовать производные с длинными гидрофильными цепями (50-100 оксиэтиленовых звеньев) без заметной десорбции полимера с поверхности. Основная полимерная цепь (алкилфенол-формальдегидный конденсат) обычно имеет относительно небольшую молекулярную массу (в пределах 1000-3000) (рис. 8).
Гребнеообразные полимеры с привитыми цепями поли(12-гидроксистеариновой кислоты) часто используются в качестве диспергаторов для неводных композиций, например красок. Низкомолекулярные цепи поли(12-гидроксистеариновой кислоты) обеспечивают стерическую стабилизацию подобно тому, как это происходит с ПЭГ в водных системах. Основная полимерная цепь содержит группы, обеспечивающие прикрепление к твердой поверхности частиц, которые должны быть диспергированы. Правильное закрепление полимера на поверхности, которое обычно базируется на кислотно-основных взаимодействиях, имеет решающее значение и определяет эффективность диспергирования. Силиконовые ПАВ представляют собой другой тип гребнеообразных полимеров с полярными боковыми цепями. Два важных представителя этого класса показаны на рис. 9.
Рис. 8. Феноло-формальдегидные этоксилированные смолы; R — небольшая алкильная цепь, обычно пропил или бутил
Рис. 9. Примеры силиконовых поверхностно-активных веществ. X — это обычно ионная или неионная полярная группа, чаще всего сополимер ЭО-ПО; иногда X — слабополярная группа, например сложноэфирная, амидная, эпоксидная и др.
Основной цепью силиконовых ПАВ практически всегда служит полидиме-тилсилоксан, который очень гидрофобен и нерастворим в воде. Поверхностную активность в водной среде ему сообщают водорастворимые заместители (заряженные или нейтральные). В качестве заместителей используют полиэтиленгликоль или сополимеры полиэтиленгликоля с полипропиленгликолем. Между атомами Si и полиэфирными цепями могут образовываться связи Si-O-C или Si - С. Связь Si-O-C возникает при этерификации хлорполисилоксанов гид-роксильными группами органических соединений, в том числе сополимера ЭО-ПО. Эта связь довольно неустойчива к гидролизу, и такие продукты не годятся для применения в кислых и щелочных средах. Связь Si-С, в которой атом углерода ЭО-ПО-сополимера непосредственно связан с атомом Si, стабильна. Такие связи образуются в процессе гидросилилирования, т. е. присоединения Si-H-группы полисилоксана по концевой олефиновой связи в присутствии платинового катализатора.
Заместитель X может иметь слабополярный характер, тогда продукт поверхностно-активен в органических средах. Для использования в неводных средах подходят только силиконовые и фторированные ПАВ.
Силиконовые ПАВ используются во многих специальных ситуациях, когда с помощью обычныех ПАВ нельзя достичь желаемого эффекта. В табл. 1 приведены некоторые характеристики силиконовых ПАВ.
Свойства силиконовых ПАВ
1. Очень сильно снижают поверхностное натяжение (до -20 мН/м).
2. Эффективно смачивают низкоэнергетические поверхности.
3. Эффективные пеногасители.
4. Плохая биоразлагаемость.
5. Относительно дорогие. Но высокая эффективность по сравнению с обычными ПАВ оправдывает экономические затраты.
Ниже перечислены основные области применения силиконовых ПАВ.
1) Добавки в полиуретановые пены для регулирования ячеистой структуры.
2) Пеногасители для многих водных систем (ЭО-ПО-замещенные продукты) и для неводных сред (обычно незамещенные полисилокеаны).
3) Добавки в краски для предотвращения седиментации пигментов и дефектов пленок (рябизна, лунки, дефекты типа «апельсиновой корки» и т. д.).
4) Смачиватели для полиолефинов и других, трудно смачиваемых материалов, смачиватели в неводных средах, например в смазках.
5) Эмульгаторы для получения эмульсий силиконовых масел.
Полимеры, состоящие из чередующихся гидрофильных и гидрофобных блоков
Многие белки содержат участки, различающиеся по гидрофобное (рис. 10). Например, казеин (белок молока) и белки, содержащиеся в слюне, принадлежат к поверхностно-активным белкам этого типа; они состоят из полярных участков с высоким содержанием фосфатных групп и областей, в состав которых преимущественно входят гидрофобные аминокислотные остатки.
Известно множество синтетических поверхностно-активных блок-сополимеров. Среди них наиболее распространены и известны сополимеры поли (алкен-гликолей). Роль гидрофильных участков в них практически всегда выполняют полиэтиленгликоли (ПЭГ), которые получают полимеризацией этиленоксида. Гидрофобные участки — это обычно полипропиленгликоли (ППГ), но существуют продукты, основанные и на поли(бутиленгликолях). Так как для двух последних полимеров исходными веществами служат пропиленоксид (ПО) и бутиленоксид (БО), все три поли(алкенгликоля) имеют одинаковую структуру основной полимерной цепи -O-C-C- а повторяющимися единицами являются
-ОСН2-СН2 - в поли (этиленгликоле)
-ОСН2СЩСН3) - в поли (пропиленгликоле)
-ОСН2СЩСН2СН3) - в поли (бутиленгликоле)
Рис. 10. Полимеры, состоящие из чередующихся гидрофильных и гидрофобных блоков
