Поверхностное натяжение и адсорбция на границе вода-воздух
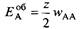
Энергия на одну молекулу на поверхности вода-воздух описывается соотношением
так как в плоскости над поверхностью вода-воздух у молекулы нет соседей. Энергия, необходимая для переноса одной молекулы из объема на поверхность, выражаться тогда как
Поскольку энергия Waa — отрицательная величина, очевидно, что для переноса молекулы из объема на поверхность требуются источники положительной энергии. По этой причине капля жидкости принимает сферическую форму, достигая таким образом минимальной площади поверхности и, следовательно, минимальной полной энергии системы.
Величина AE в уравнении, будучи нормированной на площадь поперечного сечения молекулы яa9 равна поверхностной энергии. Поскольку в данном обсуждении мы пренебрегли энтропийными вкладами, эта величина равна свободной поверхностной энергии или поверхностному натяжению:
Уравнение еще раз показывает, что поверхностное натяжение жидкости является следствием энергии когезии жидкости.
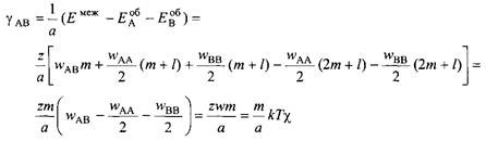
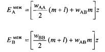
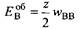
Межфазное натяжение характеризует не только энергию когезии двух жидкостей, находящихся в контакте друг с другом, но также и взаимодействие между этими жидкостями или, точнее, взаимодействие между разными молекулами. Как и ранее, запишем энергию, приходящуюся на молекулу в обеих жидких фазах, как
Энергия, приходящаяся на молекулу типа А или В на межфазной границе AB, выражается соотношениями
Энергия, необходимая для создания поверхности, выраженная на единицу площади поверхности, равна межфазному натяжению:
Из уравнения следует, что межфазное натяжение пропорционально параметрам w или ч, т. е. определяется различием свойств этих жидкостей. Так, если данная пара жидкостей сильно различается по свойствам, их межфазное натяжение будет большим как, например, в системе вода-алифатический углеводород. Если же жидкости более совместимы, межфазное натяжение будет уменьшаться и в пределе может стать равным нулю. Приведенный анализ является некоторым приближением, поскольку в нем не учитывалась взаимная растворимость жидкостей и игнорировались энтропийные вклады. Работа адгезии Wq между двумя материалами определяется вкладами межфазной и поверхностной энергии:
С учетом уравнений и, работу адгезии можно записать в следующем виде:
Следовательно, работа адгезии пропорциональна величине Wab и является прямой мерой межмолекулярных взаимодействий двух компонентов.
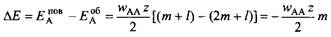
Растекание одной жидкости по поверхности твердого тела или по поверхности другой жидкости происходит, если есть выигрыш; в энергии, т.е. полная энергия системы уменьшается. Изменение энергии при растекании одной жидкости А по поверхности второй жидкости В определяется следующим уравнением:
Из этого уравнения видно, что ответ на вопрос о том, будет ли данная жидкость растекаться по другой жидкости, определяется балансом сил когезии растекающейся жидкости и межмолекулярного взаимодействия двух жидкостей - Растеканию способствует сильное межмолекулярное притяжение между компонентами А и В и препятствует большая внутренняя когезия той жидкости, которая должна растекаться. Таким образом, чтобы достичь растекания одной жидкости по поверхности другой, необходимо обеспечить притяжение между ними, а растекающаяся жидкость должна иметь низкую плотность энергии когезии. Таким примером служат силиконовые масла, растекающиеся практически по любой поверхности.
Применение теории регулярных растворов к поверхностному натяжению и адсорбции
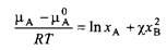
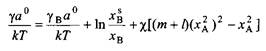
На основании теории регулярных растворов можно получить соотношение между поверхностным натяжением и адсорбцией второго компонента. Теорию регулярных растворов удобно использовать из-за ее простоты. Конечно, для анализа растворов полимеров можно воспользоваться и теорией Флори-Хаггинса, но в последующих преобразованиях некоторая доля простоты будет утеряна. В теории регулярных растворов принимается, что а) молекулы одинаковы по размеру, б) взаимодействие реализуется только между ближайшими соселями, в) при смешении компонентов не происходит изменения объема. Изменение химического потенциала при смешении двух жидкостей по сравнению с химическими потенциалами каждой индивидуальной жидкости м а ицв выражается как
и
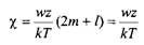
Параметр зависит от межмолекулярных взаимодействий:
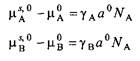
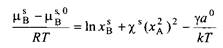
Поверхность рассматривается как отдельная фаза, находящаяся в равновесии с объемом раствора. Толщина поверхностной фазы принимается равной одной решеточной позиции. Тогда химический потенциал поверхности можно записать как
и
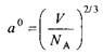
где г — поверхностное натяжение раствора. В качестве стандартного состояния принимается состояние поверхностной фазы индивидуальных компонентов. Постоянная а — это площадь поперечного сечения молекулы; ее можно оценить из соотношения
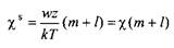
где V— молярный объем, Na — постоянная Авогадро. Параметр чд отличается от соответствующего параметра объемной фазы, поскольку в этом случае отсутствует один решеточный слой. Поэтому зависимость параметра чд от межмолекулярных взаимодействий имеет вид:
Для гексагональной решетки чд = 0.75ч.
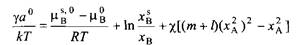
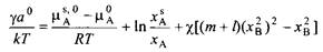
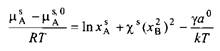
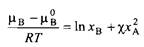
При равновесии фазы раствора с поверхностной фазой их химические потенциалы одинаковы, соответственно получаем:
Для индивидуальных компонентов уравнения превращаются в
где уд и ув — поверхностные натяжения чистых жидкостей. Таким образом, ясно, что поверхностное натяжение чистой жидкости есть разность химических потенциалов поверхностной и объемной фаз, нормированная на поперечное сечение молекул.
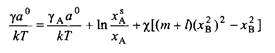
Подставив уравнения в уравнения, получим:
и
