Поверхностное натяжение и адсорбция на границе вода-воздух
Анализ уравнений и показывает, что изменение поверхностного натяжения не обязательно связано с изменением поверхности. Такие изменения могут быть также обусловлены изменениями в объеме раствора. Водные растворы смесей неорганических электролитов являются примером таких систем. Поскольку электролиты не обладают сродством к поверхности, они накапливаются в объеме раствора, понижая концентрацию растворителя, и, в соответствии с уравнениями, поверхностное натяжение должно увеличиваться. Аналогично, если поверхностное натяжение не изменяется при введении второго компонента, это не означает, что растворенный компонент не адсорбируется на поверхности. Из уравнений следует, что введение второго компонента может приводить к ситуации, когда поверхностное натяжение не меняется, при выполнении следующего условия: растворенное вещество должно приблизительно поровну распределяться между поверхностью и объемной фазой, т. е. Xg /хв *L
Для атермального раствора, т. е. при условии ч = 0, поверхностное натяжение можно легко рассчитать. Используя уравнения, после ряда алгебраических преобразований получим:
и
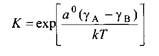
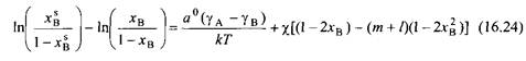
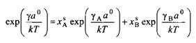
Алгебраическая форма уравнений и идентична уравнениям и соответственно для смешанных мицелл. Величина ехр соответствует KKM. Этот результат не удивителен, поскольку поверхностное натяжение раствора отражает его состав так же, как KKM смеси ПАВ отражает состав смешанной мицеллы. Уравнения указывают на то, что компонент с более низким поверхностным натяжением преимущественно адсорбируется на поверхности. По этой причине поверхностное натяжение раствора всегда ниже среднеарифметического поверхностного натяжения индивидуальных компонентов. Комбинируя уравнения и и исключая поверхностное натяжение раствора, получим уравнение изотермы адсорбции, которое устанавливает связь между составом поверхности и составом раствора:
Если пренебречь взаимодействиями между молекулами растворителя и растворенного вещества, полагая, что ч = чд = 0, уравнение принимает вид
Данное уравнение при низких концентрациях растворенного вещества представляет собой уравнение Ленгмюра
В уравнении константа уравнения Ленгмюра К выражается соотношением
