Проектирование производства фосфорсодержащего вещества
· Нормативно-техническая документация на сырье, вспомогательные материалы и продукцию, где указаны нормативные документы на эти соединения, а также условия их хранения, транспортировки, упаковки;
· Физико-химические и теплофизические свойства исходных, промежуточных, побочных, целевых продуктов и отходов. В этом разделе приводятся физико-химические константы и характеристики исходных, побочных и конечных продуктов;
· Физико-химические основы технологических процессов, где проводится анализ физико-химических превращений, их химизм, приведен механизм основной реакции;
· Описание технологической схемы. В этом разделе предлагается новая технологическая схема производства целевого продукта методом переэтерификации, а также ее описание;
· Данные для расчета основного оборудования. Приведены рекомендации и обоснования выбора оборудования;
· Аналитический контроль производства. Приводится перечень необходимых методов анализа, применяемых в предлагаемой технологии, а также периодичность аналитических испытаний;
· Выводы и рекомендации. В этом разделе обобщены основные выводы всех разделов и приводятся рекомендации к разрабатываемому технологическому процессу.
Общие сведения о технологии
Производств предлагаемого продукта переэтерификации (ди (2- метакрилоил β-оксиэтилового) эфира 2-цианоэтилфосфоновой кислоты) в России в настоящее время не существует.
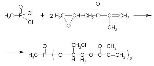
Аналогичный продукт – фосфорсодержащий диметакрилат. Он образуется в результате взаимодействия дихлорангидрида метилфосфоновой кислоты с глицидиловым эфиром метакриловой кислоты:
Массовая доля фосфора в этом продукте составляет 6,5-7,5%. Кислотное число, на 1 г продукта, не более 25,0 мг КОН. Массовая доля гидрохинона, %, в пределах 0,3-0,4. Массовая доля глицидинметакрилата, %, не более 2,0. Вязкость кинематическая, в пределах 500-1200 сСт. Трудногорючее вещество с температурой вспышки в открытом тигле 196 °С. Температура воспламенения – 218 °С.
В предлагаемом продукте переэтерификации диметилового эфира β-цианоэтилфосфоновой кислоты МЭГом, содержание фосфора составляет 8,62%.
Следовательно, для получения одинакового эффекта – снижения горючести, требуется меньшее количество вещества.
Кроме этого, в составе производимого ФОМ-II имеется хлор, что является отрицательным фактором, поскольку при пиролизе соединений, полученных на его основе, образуются вредные соединения, например, HCl и фосген.
В предлагаемом продукте хлор отсутствует. Сравнительная характеристика ФОМ-II и ди(2-метакрилоил β-оксиэтилового) эфира 2 - цианоэтилфосфоновой кислоты представлена в табл. 1.
Таблица 1 Сравнительная характеристика ФОМ-II и ди(2-метакрилоил β-оксиэтилового) эфира 2-цианоэтилфосфоновой кислоты
|
Характеристики |
ФОМ-II |
Ди(2-метакрилоил β-оксиэтиловый) эфир 2-цианоэтилфосфоновой кислоты |
|
Молекулярная масса |
417 |
359,3 |
|
Содержание фосфора |
6,5-7,5% |
8,62% |
|
Наличие галогена |
2 атома Cl в молекуле |
нет |
|
Наличие азота |
нет |
есть |
Для получения указанного продукта в лабораторных условиях проводился синтез на установке, показанной на рис. 1.
Установка состоит из колбы Кляйзена 2 с обратным водяным холодильником 3, силиконовой бани 4, термометров 1, электроплитки 5, а также приемника метанола 6.
Синтез в лаборатории проводился следующим образом: в колбу Кляйзена 2, снабженную водяным холодильником 3, помещали отмеренное количество диметилового эфира β-цианоэтилфосфоновой кислоты. Добавляли моноэтиленгликольметакрилат (МЭГ), в расчетном количестве, необходимом для протекания реакции переэтерификации, а также около 1 % (от массы МЭГ) гидрохинона для ингибирования полимеризации МЭГа. Нагревали с помощью электроплитки силиконовую баню 4 до температуры 170-180°С и выдерживали эту температуру в течение 5-6 часов.
По мере протекания реакции переэтерификации, проходя через водяной холодильник, конденсируются пары метанола, который собирается в приемник. По количеству собранного в приемнике метанола судят о степени завершенности реакции.
При проведении лабораторного синтеза были использованы количества реагентов, представленные в табл. 2.
Таблица 2
Количества исходных и конечных продуктов лабораторного синтеза
|
Исходные вещества |
Количество |
Конечные вещества |
Количество | ||||
|
Теоретич. |
Практич. | ||||||
|
г |
моль |
г |
моль |
г |
моль | ||
|
МЭГ |
11,1 |
0,085 |
Метанол (отгон) |
2,72 |
0,085 |
8,36 |
0,261 |
|
Диметиловый эфир β-циано-этилфосфоновой кислоты |
6,96 |
0,043 |
Продукт переэтерификации (остаток в кубе) |
15,35 |
0,043 |
9,7 |
0,027 |
|
Гидрохинон |
0,1 |
9,1·10-4 |
Гидрохинон |
0,1 |
9,1·10-4 |
0,1 |
9,1·10-4 |
|
ИТОГО |
18,16 |
0,129 |
ИТОГО |
18,16 |
0,129 |
18,16 |
0,345 |
Рис.1 Лабораторная установка для проведения переэтерификации диметилового эфира β-цианоэтилфосфоновой кислоты 2 - гидроксиэтилметакрилатом1-термометры; 2-колба Кляйзена; 3-обратный холодильник; 4-силиконовая баня; 5-электроплитка; 6-приемник метанола
