Проектирование производства фосфорсодержащего вещества
Физико-химические основы технологических процессов
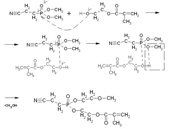
Основная реакция, протекающая в данном технологическом процессе – переэтерификация. Ее механизм представлен ниже:
Кислородный атом имеет свойство оттягивать на себя электронную плотность с соседних менее электроотрицательных атомов. В связи с этим, на атоме кислорода образуется частичный отрицательный заряд δ-, а на атоме фосфора – положительный δ+.
Атом кислорода гидроксильной группы в молекуле МЭГ также имеет частичный отрицательный заряд δ-, и под действием сил электростатического притяжения приближается к атому фосфора, имеющему противоположный заряд.
Таким образом, образуется новая связь между атомом фосфора и кислородом МЭГ. Причем эта связь более сильная, чем имеющаяся в эфире связь Р-О, которая ослабляется, и в конечном итоге разрывается, при этом образуется продукт неполной переэтерификации и молекула метанола.
Далее со второй молекулой МЭГ механизм аналогичен:
Таким образом, в результате переэтерификации может образоваться и побочный продукт неполной переэтерификации.
Кроме того, в системе также могут протекать и другие побочные реакции, например, полимеризация МЭГ, полимеризация продукта переэтерификации и т.д.:
Таким образом, в реакционной смеси может присутствовать, как продукт полной переэтерификации, так и продукт неполной, а также полимеры и олигомеры 2-гидроксиэтилметакрилата, и продукта переэтерификации.
Определенный согласно закону Гесса, тепловой эффект реакции составляет -10986,9 Дж/моль, реакция протекает с поглощением тепла.
Кинетические закономерности переэтерификации рассмотрены. Более подробно в литературе рассматриваются реакции переэтерификации в присутствии катализаторов (третичные и четвертичные амины, а также большое число различных солей металлов). Катализаторами переэтерификации является множество веществ самого разного характера, что позволяет отнести описываемый процесс к реакциям кислотно-основного типа катализа, в котором имеет место промежуточное кислотно-основное взаимодействие реагирующих веществ с катализатором, т. е. переход протона от катализатора к одному из реагирующих веществ или, наоборот, от реагирующего вещества к катализатору. При последующих стадиях протон перемещается обратно, и катализатор восстанавливает свой состав. Случай катализа недиссоциированными молекулами является частным случаем кислотно-основного катализа.
На рис. 2 приведены кинетические кривые хода переэтерификации при разных температурах для смешанного катализатора, состоящего из ацетата цинка и окиси свинца [27]. Практически реакция переэтерификации, о ходе которой, чаще всего, судят по выделению метилового спирта, не начинается ниже 150 °С. Только при 175 °С и выше достигается достаточно высокая степень конверсии.
Реакция переэтерификации с различными катализаторами может заканчиваться на разном кажущемся равновесии. Последнее объясняется потерей активности катализатором в ходе процесса. Для соединений с различными катионами потеря активности не одинакова.
Рис. 3. Кинетика переэтерификации при различных температурахс катализатором Zn(OAc)2 + PbO (0,2%) 1 – 215 °С; 2 – 200 °С; 3 – 175 °С; 4 – 152 °С;
Описание технологической схемы
Поскольку изучаемый процесс переэтерификации проводился лишь в лабораторных условиях и не имеется в промышленном производстве, была предложена технологическая схема, которая представлена на рис. 3.
Согласно предложенной технологической схеме, процесс протекает следующим образом. Из емкостей хранения поз. 7 и 8, насосами 10 подаются соответственно диметиловый эфир β-цианоэтилфосфоновой кислоты и МЭГ подаются в мерные емкости поз. 2 и 1. Необходимое количество ингибитора полимеризации МЭГа – гидрохинона взвешивают на весах поз. 4 и добавляют в реактор 6 непосредственно перед началом реакции.
Далее, МЭГ и диметиловый эфир β-цианоэтилфосфоновой кислоты из мерных емкостей поступают в реактор. Реактор герметизируют, включают привод мешалки, подают высокотемпературный органический теплоноситель (например, дифенильную смесь) с температурой не менее 180 °С в рубашку реактора, устанавливают требуемую температуру (170 °С) и поддерживают ее во время реакции. ВОТ нагревается в газовой трубчатой печи 12, и непрерывно циркулирует с помощью насоса.
По мере протекания реакции, выделяющиеся пары метанола конденсируются в конденсаторе 5, и поступают в сборник 9. Полученное количество метанола регистрируется датчиком уровня, и, исходя из его показаний, определяется степень завершенности реакции.
После отгонки рассчитанного количества метанола в сборник 9, реакция считается завершенной, подачу теплоносителя в рубашку реактора прекращают, продукт реакции самотеком сливают в емкость 11.
Рис. 3. Технологическая схема произведения процесса переэтерификации диметилового эфира β-цианоэтилфосфоновой кислоты МЭГом
1-мерная емкость для МЭГ; 2-мерная емкость для эфира; 3- регулирующая запорная арматура; 4-весы для дозировки гидрохинона; 5- холодильник-конденсатор; 6-реактор; 7- емкость для хранения эфира; 8-емкость хранения МЭГ; 9-емкость для сбора метанола; 10-насосы; 11-емкость для целевого продукта переэтерификации ,12-трубчатая печь.
1-1 – линия холодной воды;
2-2 – линия природного газа;
1΄-1΄ - обратная линия воды.
Данные для расчета и выбора основного технологического оборудования
В предлагаемой технологической схеме производства применяется процесс переэтерификации, протекающий в одну стадию, подготовка и загрузка реагентов, а также удаление из реактора продуктов.
Технологическое оборудование на стадии подготовки реагентов включает в себя емкости для хранения – стальные сосуды, объемом около 0,5 м3, применяемые без эмалирования, поскольку как диметиловый эфир β-цианоэтилфосфоновой кислоты, так и 2-гидроксиэтилметакрилат являются неагрессивными жидкостями. Дополнительным условием является содержание емкости с моноэтиленгликольметакрилатом при температуре ниже нормальной (достаточно поместить их в грунт на глубину около 1 м), поскольку склонность к полимеризации даже при нормальных условиях достаточно высока.
В технологической схеме используется реактор смешения объемом около 0,1 м3, снабженный рубашкой и якорной мешалкой, приводом мешалки. Изнутри реактор необходимо покрыть эмалью, поскольку при нарушении параметров технологического процесса может образоваться полимеризат, налипающий на стенки и дно реактора.
