Производство серной кислоты метод УДХТУ
2.4. Розрахунок другого ступеня контактного апарату
Газ з першого шару контакту поступає в проміжний теплообмінник, де охолоджується до температури 40°С, і далі поступає в абсорбцію колону, де три оксид сірки поглинається водою з утворенням сірчаної кислоти. Абсорбований газ знов поступає в проміжний теплообмінник, де в протитечії нагрівається до температури 380 °С.
|
Прихід на другий ступінь контактного апарату | ||||
|
нм3/ч |
кг/ч |
φ |
ω | |
|
SO2 |
1861,22 |
5317,78 |
3,57 |
7,71 |
|
O2 |
4824,96 |
6892,80 |
9,26 |
9,99 |
|
N2 |
45417,44 |
56771,80 |
87,17 |
82,30 |
|
Сума |
52103,63 |
68982,39 |
100,00 |
100,00 |
Послідовність розрахунку аналогічна розглянутому в першій частині розрахунку.
Визначаємо рівноважний ступінь перетворення Хр по формулі
Розрахунок зводимо в таблицю.
|
Температура, °С |
Кр |
Прийнята степінь контактування, Хр |
Получена степінь контактування, Хр |
|
400 |
1,392 |
0,985 |
0,991 |
|
450 |
0,4359 |
0,97 |
0,972 |
|
475 |
0,2586 |
0,96 |
0,954 |
|
500 |
0,1587 |
0,95 |
0,928 |
|
525 |
0,1004 |
0,92 |
0,891 |
|
550 |
0,0653 |
0,87 |
0,844 |
|
575 |
0,0436 |
0,80 |
0,786 |
|
600 |
0,0298 |
0,73 |
0,719 |
|
610 |
0,0257 |
0,70 |
0,690 |
|
625 |
0,0208 |
0,65 |
0,646 |
|
650 |
0,0148 |
0,57 |
0,569 |
При розрахунку об'ємні концентрації SO2 і O2 узяті з таблиці складу газу, що поступає в контактний апарат.
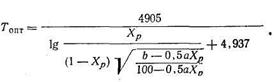
Одержані дані по рівноважній кривій перетворення наносимо на графік X — t. Оптимальна температура для кожного ступеня контакту
|
Xp |
Topt |
t opt |
|
0,98 |
679 |
406 |
|
0,849 |
782 |
509 |
|
0,792 |
805 |
532 |
|
0,725 |
828 |
555 |
|
0,696 |
837 |
564 |
|
0,61 |
863 |
590 |
|
0,574 |
873 |
600 |
За одержаними даними для Хр і toпт будуємо графік X—t. На цей графік наноситься крапка, відповідна початковим умовам тобто t = 380°C і X=0,81.
Ступінь контакту 1X = 0,98. Отсюда - кількість двоокису сірі, що окислюється в сірчаний ангідрид, буде
5mSO2 = 4mSO2 ∙4X = 5318∙0,98 = 5211 кг/ч.
Кількість двоокису сірі в газі, що йде з першого шару
6 mSO2= 4mSO2 -5mSO2 = 5318 — 5211 = 106 кг/ч.
Кількість сірчаного ангідриду, що утворився в шарі.
5 mSO3=5mSO2 ∙
=5mSO2 ∙ fSO3/SO2 = 5211∙1,2497 = 6513 кг/ч,
де f so2/so3 — відношення молекулярних мас сірчаного ангідриду і двоокису сірі.
Кількість кисню, що зв'язується з двоокисом сірі в сірчаний ангідрид
5 mO2= 5 mSO3 - 5 mSO2 = 6513 — 5211 = 1301 кг/ч.
Кількість кисню, що залишається в газі
6 mO2 = 4 mO2 - 5 mO2 = 6893 - 1301 = 5592 кг/ч.
Зведений матеріальний баланс другого шару
|
Матеріальний баланс другого ступеня | |||||||||
|
Прихід |
Витрата | ||||||||
|
нм3/ч |
кг/ч |
ц |
щ |
Витрата |
кг/ч |
м3/ч |
по мас. |
по об'єм. | |
|
SO2 |
1861,22 |
5317,78 |
3,57 |
7,71 |
SO3 |
6512,72 |
1823,562 |
9,44 |
3,56 |
|
O2 |
4824,96 |
6892,80 |
9,26 |
9,99 |
SO2 |
106,36 |
37,22449 |
0,15 |
0,07 |
|
N2 |
45417,44 |
56771,80 |
87,17 |
82,30 |
О2 |
5591,51 |
3914,056 |
8,11 |
7,65 |
|
Сума |
52103,63 |
68982,39 |
100,00 |
100,00 |
N2 |
56771,80 |
45417,44 |
82,30 |
88,72 |
|
Сума |
68982,39 |
51192,28 |
100,00 |
100,00 | |||||
