Производство серной кислоты метод УДХТУ
2.5. Тепловий баланс другого ступеня
Перше наближення: температура на виході з шару 380°C.
Прихід тепла.
Тепло газів, що поступають в шар:
4Q = (4mSO2∙4CSO2 + 4mO2∙4CO2 + 4mN2∙4CN2)∙4t,
4Q = (5317∙0,704+6893∙0,961 +56772∙1,057)∙380=23927669 кДж/ч
Тепло, що виділяється при окисленні двоокису сірки
5Q = 5q • 5mso2 = 1485 • 5211 = 7738971 кДж/ч,
де 5q — питоме тепло окислення при середній температурі в шарі (440 + 568): 2 = 410°С, кДж/кг.
Загальний прихід тепла
4Q + 5Q = 23927669 + 7738971 = 31666640 кДж/ч.
Витрата тепла.
Тепло, що відноситься газами, що відходять
6Q = (6mSO2∙6CSO2 + 6mSO2∙6CSO2 + 6mO2∙6CO2 + 6mN2∙6CN2)∙6t,
6Q = (6513 ∙ 0,8 + 106 ∙ 0,72 + 5592 ∙ 0,97 + 56772 ∙ 1,07) ∙ 440,
6Q = 31550791 кДж/ч
Різниця між приходом і витратою
4Q + 5Q - 6Q = 31666640 – 31650791= 15849 кДж/ч
Отже, наближення достатнє точно. На графік X — t наносимо одержану крапку X = 0,98 і t = 440, сполучаємо її з крапкою X = 0,81 і t = 380.
Тепловий баланс
|
Прихід |
кДж/ч |
% |
Витрата |
кДж/ч |
% |
|
З газами |
23927669 |
75,56 |
з газами |
31550791 |
99,95 |
|
Тепло реакції |
7738971 |
24,44 |
нев'язність |
15849 |
0,05 |
|
Сума |
31666640 |
100,00 |
Сума |
31666640 |
100,00 |
2.6. Розрахунок контактної маси в контактному апараті
Кількість контактної маси в першому шарі.
Об'єм контактної маси в робочому поляганні в шарі
де vрабк.м — об'єм контактної маси в першому шарі в робочому стані, м3;
с — коефіцієнт запасу;
τ — секундний об'єм газів, що проходять через шар, нм3/сек;
h — фіктивний час контакту, сек.
Об'єм контактної маси при завантаженні в 1,1 рази більш робочого об'єму. Звідси
Насипна вага кільцевої контактної маси в робочому стані dрабк.м = 600 кг/м3, а при завантаженні dзаск.м = 450 кг/м3. У апарат засипається
Гідравлічний опір контактної маси першого шару.
При внутрішньому діаметрі першого шару контактного апарату 5 м і відповідно площі перетину 19,03 м2 висота шару контактної маси рівна
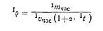
Лінійна швидкість газів в шарі при середній температурі шаруючи 504°С
де ω — лінійна швидкість газу, м/сек;
vчас — об'єм газу за нормальних умов, нм3/час;
а — коефіцієнт об'ємного розширення, град-1;
t — температура газу °C;
F — площа перетину, м2;
3600 — коефіцієнт переходу від годин до секунд, сек/ч.
Щільність газів
де ρ — щільність газів в шарі, кг/м3;
mчас — годинна маса газів, кг/ч.
Гідравлічний опір шару:
Кількість контактної маси в другому шарі.
Об'єм контактної маси в робочому стані шару
де vрабк.м — об'єм контактної маси в першому шарі в робочому стані, м3;
с — коефіцієнт запасу;
τ — секундний об'єм газів, що проходять через шар, нм3/сек;
h — фіктивний час контакту, сек.
Об'єм контактної маси при завантаженні в 1,1 разу більш робочого об'єму. Звідси
Насипна вага кільцевої контактної маси в робочому стані dрабк.м. = 600 кг/ м3, а при завантаженні dзаск.м = 450 кг/ м3. У апарат засипається
Гідравлічний опір контактної маси другого шару.
При внутрішньому діаметрі першого шару контактного апарату 5 м і відповідно площі перетину 19,03 м2 висота шару контактної маси рівна
Лінійна швидкість газів в шарі при середній температурі шару 504°С
де ω — лінійна швидкість газу, м/сек;
vчас — об'єм газу за нормальних умов, нм3/час;
а — коефіцієнт об'ємного розширення, град-1;
t — температура газу °C;
F — площа перетину, м2;
3600 — коефіцієнт переходу від годинника до секунд, сек/ч.
Щільність газів
де ρ — щільність газів в шарі, кг/м3;
mчас — годинна маса газів, кг/ч.
Гідравлічний опір шару:
3. Охорона навколишнього середовища
пов'язана з виробництвом сірчаної кислоти
Основною сировиною для виробництва сірчаної кислоти, є сірка. Вона належить до найбільш поширених числу хімічних елементів на нашій планеті.
Виробництво сірчаної кислоти відбувається в три стадії на першій стадії одержують SO2, шляхом випалення FeS2, потім SO3, після чого на третій стадії одержують сірчану кислоту.
