Синтез нитробензойной кислоты
СОДЕРЖАНИЕ
Содержание
1. Введение
2. Обзор литературы
3. Обсуждение результатов
4. Экспериментальная часть
4.1. Реагенты и оборудование
4.2. Методика эксперимента
5. Выводы
6. Библиография
1. Введение
Ароматическими карбоновыми кислотами называются производные бензола, содержащие карбоксильные группы, непосредственно связанные с углеродными атомами бензольного ядра. Кислоты, содержащие карбоксильные группы в боковой цепи, рассматриваются как жирноароматические.
Ароматические кислоты могут быть разделены по количеству карбоксильных групп на одно-, двух- и более основные. Названия кислот, у которых карбоксильная группа непосредственно связана с ядром, производятся от ароматических углеводородов. Названия кислот с карбоксилом в боковой цепи производятся обычно от наименований соответствующих кислот жирного ряда. Наибольшее значение имеют кислоты первого типа: например, бензойная (бензолкарбоновая) С6Н5—СООН, п-толуиловая
(п-толуолкарбоновая), фталевая (1,2-бензолдикарбоновая), изофталевая (1,3-бензолдикарбоновая), терефталевая (1,4-бензолдикарбоновая):
Из кислот второго типа отметим фенилуксусную кислоту (I), метилфенилуксусную,
или 2-фенилпропановую, кислоту (II):
Физические свойства
Монокарбоновые кислоты ряда бензола — бесцветные кристаллические вещества с температурой плавления выше 100 °С. Кислоты с пара-положением заместителей плавятся при значительно более высоких температурах, чем их изомеры. Ароматические кислоты кипят при несколько более высоких и плавятся при значительно более высоких температурах, чем кислоты жирного ряда с тем же числом углеродных атомов. Монокарбоновые кислоты довольно плохо растворяются в холодной воде и значительно лучше в горячей. Низшие кислоты летучи с парами воды.
В водных растворах монокарбоновые кислоты обнаруживают большую степень диссоциации, чем кислоты жирного ряда: константа диссоциации бензойной кислоты 6,6·10-5 , уксусной кислоты 1,8·10-5.
Отдельные представители. Применение
Бензол был открыт Фарадеем в 1825 г. и была установлена его брутто-формула-С6Н6. В 1865 г. Кекуле предложил его структурную формулу как циклогексатриена-1,3,5. Этой формулой пользуются и в настоящее время, хотя она, как позднее будет показано, несовершенна - не отвечает полностью свойствам бензола.
Наиболее характерной особенностью химического поведения бензола является удивительная инертность двойных углерод-углеродных связей в его молекуле: в отличие от рассмотренных; ранее непредельных соединений он устойчив к действию окислителей (например, перманганата калия в кислой и щелочной среде, хромового ангидрида в уксусной кислоте) и не вступает в обычные реакции электрофильного присоединения, характерные для алкенов, алкадиенов и алкинов.
Пытаясь объяснить свойства бензола особенностями строения, многие ученые вслед за Кекуле выдвигали по этому поводу свои гипотезы. Поскольку непредельность бензола явно не проявлялась, считали, что двойных связей в молекуле бензола нет. Так, Армстронг и Байер, а также Клаус предположили, что в молекуле бензола четвертые валентности всех шести атомов углерода направлены к центру и насыщают друг друга, Ладенбург - что углеродный скелет бензола представляет собой призму, Чичибабин - что в бензоле углерод трехвалентен.
Тиле, усовершенствуя формулу Кекуле, утверждал, что двойные связи в последнем не фиксированы, а постоянно перемещаются-«осциллируют», а Дьюар и Хюккель предложили структурные формулы бензола с двойными связями и малыми циклами.
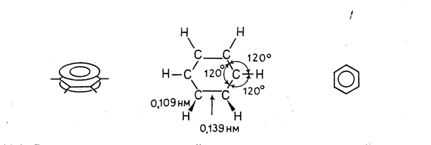
В настоящее время на основании данных многочисленных исследований можно считать твердо установленным, что шесть углеродных и шесть водородных атомов в молекуле бензола находятся в одной плоскости и что облака π-электронов атомов углерода перпендикулярны плоскости молекулы и, следовательно, параллельны друг другу и взаимодействуют между собой. Облако каждого π-электрона перекрывается облаками π-электронов соседних углеродных атомов. Реальная молекула бензола с равномерным распределением π-электронной плотности по всему кольцу может быть представлена в виде плоского шестиугольника, лежащего между двумя торами.
Отсюда следует, что формулу бензола логично изображать в виде правильного шестиугольника с кольцом внутри, подчеркивая тем самым полную делокализованность π-электронов в бензольном кольце и равноценность всех углерод-углеродных связей в нем. Справедливость последнего заключения подтверждена, в частности, результатами измерения длин С—С-связей в молекуле бензола; они одинаковы и равны 0,139 нм (С—С-связи в бензольном кольце короче ординарных (3,154 нм), но длиннее двойных (0,132 нм)). Распределение электронной плотности в молекуле бензола; длины связей, валентные углы
Бензойная кислота простейшая ароматическая кислота, C6H5COOH; бесцветные блестящие пластинки или иглы с Тпл. 121,5°С, кристаллогидрат плавится при 90 °С. Встречается в свободном состоянии в некоторых смолах, особенно в бензойной смоле и в «драконовой крови» (красная твердая смола, добываемая из одного вида пальмы). В виде бензилового эфира она входит в состав перуанского бальзама. Б. к. в виде сложных эфиров и солей содержится в различных природных эфирных маслах, например гвоздичном. В виде гиппуровой кислоты (бензоилглицин) содержится в моче травоядных животных. Впервые выделена возгонкой в начале 17 в. из бензойной смолы (росного ладана), отсюда и получила название. Б. к. хорошо растворяется в органических растворителях, в воде - плохо; легко возгоняется; перегоняется с водяным паром. Получают Б. к. окислением толуола азотной или хромовой кислотой, а также декарбоксилированием фталевой кислоты.
В медицине её применяют при кожных заболеваниях наружно как антисептическое (противомикробное) и фунгицидное (противогрибковое) средства, а натриевую соль Б. к. - как отхаркивающее средство. Кроме того, натриевую соль Б. к. используют при консервировании пищевых продуктов. Сложные эфиры Б. к. (от метилового до амилового), обладающие сильным запахом, применяют в парфюмерной промышленности. Различные производные Б. к., например хлор- и нитробензойные кислоты, широко применяют для синтеза красителей. Эталон в калориметрии; основное вещество для установки титра щелочей; для бензилирования в органическом анализе; растворитель при определении молекулярного веса; для контроля достигавшейся максимальной температуры в стерилизаторах. В продаже часто фальсифицируется мылом, сахаром и многими кислотами. Фальсифицированная Б. К. дает на нагретом стекле твердый осадок.
ТЕХНИЧЕСКИЕ ПОКАЗАТЕЛИ (СТ. ГОХП 27 - 1810)
|
квалиф |
осн. вещ. % |
Т.пл °С |
Предельно допустимое содержание примесей % |
Испытания (см. СТ. ГОХП) | |||
|
хлориды |
ост. прокал. |
сера |
тяж. мет. | ||||
|
ч.д.а. |
99,9 |
122-123 |
0,02 |
0,01 |
0,002 |
0,0005 |
На растворимость в аммиаке |
|
ч. |
99,5 |
122-123 |
0,05 |
0,05 |
0,005 |
0,002 | |
