Современные конструкции фильтровальных аппаратов
(12.95)
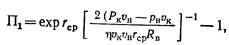
Значение безразмерного комплекса Щ в конце фильтрования определяется, с одной стороны, уравнением
с другой стороны, принимая, что общий объем фильтрата равен сумме объемов при постоянной скорости и постоянном давлении Vоб=Vф + Vm, значение Ilj можно определить из соотношения
(12.97)
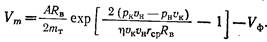
Решая совместно уравнения (12.96) и (12.97), можно получить значение объема фильтрата при постоянном давлении:
(12.98)
Определив значения П1 можно найти время Т, необходимое для получения общего объема фильтрата при постоянной разности давлений рк. Фактически за время фильтрования при постоянной разности давлений рк получен объем фильтрата Vm действительная продолжительность фильтрования может быть определена как разность Тt—Ту', где Ту — воображаемая продолжительность получения фильтрата объемом Уф при постоянной разности давлений. Значение Ту' можно получить также из уравнения (12.97) для фильтрата объемом Vф:
(12.99)
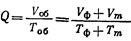
Общая полезная продолжительность фильтроцикла составляет
(12.100).
Производительность фильтра за рабочий цикл равна:
ЛИТЕРАТУРА
1. Алексеев Л.С., Гладков В.А. Улучшение качества мягких вод. М., Стройиздат, 1994 г.
2. Алферова Л.А., Нечаев А.П. Замкнутые системы водного хозяйства промышленных предприятий, комплексов и районов. М., 1984.
3. Аюкаев Р.И., Мельцер В.3. Производство и применение фильтрующих
материалов для очистки воды. Л., 1985.
4. Вейцер Ю.М., Мииц Д.М. Высокомолекулярные флокулянты в процессах очистки воды. М., 1984.
5. Егоров А.И. Гидравлика напорных трубчатых систем в водопроводных очистных сооружениях. М., 1984.
6. Журба М.Г. Очистки воды на зернистых фильтрах. Львов, 1980.
