Стероиды
К стероидам относятся многочисленные и исключительно важные классы природных физиологических активных соединений – половые гормоны и гормоны коры надпочечников, стерины, желчные кислоты, сапогенины, сердечные агликоны, многочисленные алколоиды и т.д. Распространенность стероидных соединений как в животном, так и в растительном мире и исключительно важная роль стероидных гормонов в регулировании жизненных процессов обусловили широкий размах научных исследований в ходе которых были получены важные практические результаты. Сейчас во многих странах налажено промышленное производство стероидных гормонов с продукцией на сотни миллионов рублей. Благодаря стероидным гормонам и прежде всего кортизону стало возможным излечивать такие тяжелые болезни как ревматоидные артриты.
Химия стероидов как особая часть органической химии начала развиваться с конца 20-х годов нашего столетия, когда Виланд и Виндаус впервые предложили формулу для важнейших стероидных соединений – холестерина и холевой кислоты. За этот сравнительно короткий срок химия стероидов дала замечательные результаты, ценные для всей органической химии в целом.
В организме растений и животных существует много производных стеролов, содержащих скелет циклопентанопергидрофенантрена, но не являющихся подобно стеролам, одноатомными спиртами. Стероиды играют выдающуюся роль в жизнедеятельности живых (преимущественно) и растительных организмов, регулируя их важнейшие, жизненные функции. Часто близость строения различных стероидов сочетается с существенным различием выполняемой ими биологической роли.
Стероиды – группа полициклических алифатических соединений, производных насыщенных тетрациклических систем. Эта структура сама по себе имеет шесть херальных центров, введение заместителей увеличивает возможности стереоизомерии.
Диастереомерные углеводороды холестан и копростан с общей формулой С27Н48 иллюстрируют абсолютную конфигурацию стероидов, встречающихся в природе. Эти углеводороды имеют
восемь хиральных центров и представляют два из 256 (28) возможных стереоизомеров. Следует отметить, что все шестичленные кольца имеют креслообразную форму, эпимеризация одного из хиральных центров ведет к значительным изменениям в молекулярной структуре.
Стероиды имеют различные поверхности полициклического скелета. Поверхность, перед которой располагаются метильные заместители холестана, обозначается буквой β.
Поскольку в молекулах стероидов шестичленные кольца находятся в конденсированной форме, инверсия креслообразных конформаций, как это происходит с простыми циклогексановыми производными, в случае стероидов невозможно. В молекулах этих соединений четыре конденсированных цикла образуют жесткую каркасную структуру.
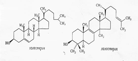
К стероидам относятся гормоны коркового вещества надпочечников, половые гормоны, желчные кислоты, сердечные гликозиды. В организме человека важное место среди стероидов занимают стерины (стеролы), т.е. стериодные спирты. Главным представителем стеринов является холестерин (холестерол)
Холестерин присутствует практически во всех живых организмах, в том числе в бактериях и родственных им сине-зеленых водорослях. Содержание холестерина в растениях обычно невелико (исключение масла семян и пыльца), однако некоторые животные продукты богаты холестерином. Пятикратное содержат липиды переферической и центральной нервной ткани, липиды яиц и клеток спермы, а также кожа и кожное сало. Большинство организмов способно синтезировать холестерин. Исключение составляют некоторые бактерии, а также простейшие грибы, членистоногие, кольчатые черви, морские ежи и акулы. У млекопитающихся холестерин наиболее активно синтезируется в печени, коже и кишечнике, меньше всего холестерин синтезируется в мышцах, жировой ткани, а также в ткани мозга. В нервной ткани холестерин связан со стероидными компонентами, главным образом с миелиновой оболочкой нервов, и возможно, действует как изолятор.
Холестерин является важным компонентом липопротеинов плазмы крови, а в печени и других тканях играет роль ключевого промежуточного продукта в синтезе многих соединений стероидной природы. Свое название холестерин получил из-за патологического отложения в желчных протоках, он является составной частью всех нормально развивающихся тканей живых организмов. Холестирином богаты плазматические мембраны многих живых клеток; в значительно меньшем количестве он содержится в мембранах митохондрий и в эндоплазматической сети. Присутствует во всех тканях, особенно много в мозговой. Хотя его точная роль в биологических процессах не установлена, известно, что он является предшественником всех других физиологически активных стероидов, образующихся в организме.
Ланостерин (ланостерол) – стероидный компонент воска шерсти, промежуточное соединение при биосинтезе холестерина.
Желчные кислоты – стериодные карбоновые кислоты присутствующие в желчи в форме амидов, образующихся при соединении карбоксильной и аминной групп глицина Н2NСН2СО2Н или таурина Н2NСН2СН2SО3Н (природная аминосульфокислота). Холевая и дезоксихолевая кислоты – наиболее важные желчные кислоты, встречающиеся в организме человека. Эти
соединения способствуют процессу переваривания пищи за счет эмульгирования жиров в кишечнике – они являются поверхностно-активными веществами.
В кишечнике, куда желчные кислоты попадают из печени с желчью через желчный проток, они соединяются с жирными кислотами, получающимися при гидролизе жиров, образуя с ними растворимые комплексные соединения, называемые холеиновыми кислотами. Тем самым желчные кислоты способствуют всасыванию самих по себе нерастворимых высомолекулярных жирных кислот. Желчные кислоты, встречающиеся в виде солей в малом количестве в крови, выполняют роль регуляторов сердечной деятельности. В растительном мире довольно широко распространены соединения, по своему строению являющимися стероидами, близкими к желчным кислотам. Они обыкновенно встречаются не в свободном состоянии, а в виде глюкозидов с различными углеводами – глюкозой, галактозой. В листьях различных видах дигиталиса (наперстянки), а также строфанта встречаются подобные глюкозиды.
Все указанные вещества обладают сильным физиологическим действием и ядовитостью. Глюкозиды дегиталиса являются сердечными ядами (в малых дозах применяются как лекарственные вещества), сапонины же обладают сильным гемолитическим действием.
Половые гормоны.
Важнейшие среди стероидных гормонов – женские (эстрогены, гестагены) и мужские (андрогены) половые гормоны необходимые для нормального развития и функционирования половых органов, развития вторичных половых признаков и продолжения жизни.
Эстрогены объединяют группу производных циклопентанооктагидрофенантрена, имеющих ароматическое кольцо А. Впервые эстрогены обнаружены Б. Зондеком (Германия) в моче беременных женщин в 1927 году. Позднее в 1929 – 1932 годах А. Бутенандт (Германия) выделил в кристаллическом состоянии гормон, названный им эстроном (от английского слова oestrus – течка), установил его строение. В этот же период Е.А. Дойзи (США) выделил два других эстрогена - эстриол и эстродиол.
