Стероиды
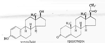
Впоследствии было установлено, что наиболее активным из них является эстрадиол.
Эстрон и другие эстрогены используются для лечения половой недостаточности, при климактерических расстройствах, гипертонии, онкологических и других заболеваниях.
Эстрогены содержатся и в растениях – кокосовые орехи, цветки ивы и т.п.
Первый полный синтез эстрона осуществлен в 1948 году Г. Аннером и
К. Мишером (Швейцария). В настоящее время для медицинских целей эстрогены получают в промышленных условиях химическим синтезом.
Стероидные гормоны, известны под названием андрогены наряду с влиянием на эндокринную систему человека, обладают сильным анаболическим эффектом. Их недостаток приводит к нарушениям азотистого и фосфорного обмена, атрофии скелетной мускулатуры и другим расстройствам.
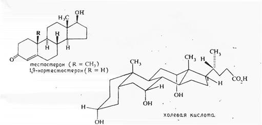
В 1931 году А. Бутенандт из мочи человека выделил первый андроген, названный им андростероном. Позднее в 1935 году Э. Лакье (Германия) показал, что это соединение является метоболитом, а истинный мужской половой гормон – тестостерон, содержащийся тестикулах.
Введение таких гормонов (или просто пересадка семенников) кастрированным петушкам приводит к восстановлению вторичных половых признаков – отрастает гребешок и бородка, и они вновь начинают проявлять половую активность.
Гестагены – стероидные гормоны, связанные с функцией яичников, в которых находятся граафовы пузырьки, наполненные фолликулярной жидкостью. С наступлением половой зрелости эти пузырьки постепенно лопаются, освобождая яйцеклетку (овуляция).
Оставшаяся часть фолликулы разрастается, образует так называемое желтое тело (corpus luteum), представляющее собой своего рода железу внутренней секреции, которая сохраняется на протяжении беременности и продуцирует гормон прогестерон. Этот гормон обнаружен в 1928 году В. М. Алленом (США), а строение его установлено А. Бутенандтом в 1934 году частичным синтезом из стигмастерина.
Прогестерон, а также его физиологически активный метаболит 5α-прегнандиол препятствуют созреванию новых яйцеклеток; они вызывают изменения слизистой оболочки матки, подготавливая ее к имплантации оплодотворенной яйцеклетки, и предупреждают преждевременные роды.
Известен ряд синтетических аналогов прогестерона, проявляющих аналогичную активность. Характерным свойством этих лекарственных препаратов является способность оказывать терапевтическое действие при пероральном применении. Среди них следует в первую очередь назвать прегнин (этистерон), применяемый для прекращения патологических маточных кровотечений, норэтинодрел и мистранол, входящие в состав пероральных контрацептивных средств и способные эффективно тормозить овуляцию.
Половые гормоны вырабатываются в яичниках и семенниках, они ответственны за развитие и функционирование половой системы. Главным андрогеном (мужской половой гормон человека) является тестостерон, который в дополнение к своему действию на половую систему обладает значительным анаболическим (тканеобразующим) эффектом, обуславливая характерную мужскую мускулатуру
Лекарственные препараты, имеющие структуру аналогичную тестостерону, находят терапевтическое применение и используются некоторыми группами атлетов (толкатели ядра, тяжелоатлеты, культуристы) для наращивания мышечной массы. Применяемый для этой цели 19-нортестостерон также подавляет продуцирование спермы у мужчин и поэтому потенциально может оказаться мужским контрацептивным лекарственным препаратом.
Женская половая система контролируется двумя типами гормонов:
Эсрогены контролируют циклические изменения в матке, в то время как прогестогены (гестогены) способствуют наступлению и сохранению беременности после зачатия. Эстрадиол, главный эстроген выделяется яичниками во время развития и выхода яйцеклетки, он подготавливает слизистую матки для внедрения оплодотворенного яйца. Если зачатие не наступает, то выделение эстрадиола ослабевает и слизистая оболочка матки отторгается (ментсруация). Развитие и выход другой яйцеклетки сопровождается дальнейшим выделением эстрадиола. Если оплодотворение наступает, то в желтом теле яичника, а позднее и в плаценте образуется и сохраняет беременность главный прогестоген – прогестерон. Многие соединения, испробованные и используемые как оральные контрацептивы, имеют структуру, близкую к экстрадиолу и прогестерону.
Помимо стероидных аналогов ярко выраженную активность проявляют некоторые простые молекулы, которые могут принимать форму стероидов. Диэтильстильбэстрол и его дигидропроизводное гексэстрол обладает экстрогенным действием. Некоторые производные трифинилэтилена также проявляют подобную активность. Хлоротрианизен обладает экстогенной активностью, в то время как кломифен и тамоксифен – антиэсрогенной. Благодаря этим свойствам они используются как противоопухолевые терапевтические препараты.
Витамины группы D.
Известно около десяти витаминов D, незначительно различающихся между собой по строению. Все они относятся к группе стероидов – сложных органических соединений с конденсированными кольцами. Все витамины группы D участвуют в управлении процессом отложения кальция и фосфора в растущих костях человека. При отсутствии витаминов D этот процесс нарушается, в результате чего кости становятся мягкими и деформируются. Такое явление называется рахитом и свойственно только детскому возрасту.
Витамины D содержатся в некоторых продуктах питания, но в количестве, недостаточном для роста человека. Недостающее количество витаминов D организм восполняет за счет имеющегося в организме 7-дегидрохолестерина – соединения из группы стероидов, близкого по строению к витаминам D. Содержащийся непосредственно под кожей человека 7-дегидрохолестерин под действием солнечных лучей превращается в витамин D3.
Витамин D2 (кальциферол) очень близок по строению к витамину D3 и образуется из стероидного спирта – эргостерина, содержащегося в дрожжах, плесени и др.; также под действием облучения.
Гормоны коры надпочечников.
Исследования вытяжек из коры надпочечников привели к выделению до 16-ти соединений, оказавшихся различными стероидами и обладающих гормональной активностью. Им было дано общее название кортин. Активными из этих соединений оказались четыре. Наибольшей активностью обладает кортикостерон. Другие соединения этой группы менее активные, отличаются от кортикостерона наличием кетонной группы у C11 вместо гидроксильной или также наличием группы ОН и у С17. Кортикостерон имеет строение
