Химический анализ катионов
2 KI + 2 KNO2 + 2 H2SO4 = I2 + 2 NO + 2 K2SO4 + 2 H2O.
Выделившийся йод обнаруживают по посинению крахмала.
Выполнение: к 1–2 каплям исследуемого раствора добавляют столько же раствора нитрита натрия NaNO2, подкисляют 2 н серной кислотой и добавляют 1–2 капли крахмального раствора. Синяя окраска адсорбционного соединения йода с крахмалом при нагревании исчезает, при охлаждении снова появляется.
Опыт 4. Обнаружение иона CO32-.
Выполнение: 5–6 капель исследуемого раствора помещают в склянку прибора для обнаружения газов и приливают 6–8 капель 2 н HCl. Помутнение известковой воды указывает на присутствие иона CO32-.
Опыт 5. Обнаружение иона PO43-.
Выполнение: к 2 каплям анализируемого раствора прибавляют избыток молибденовой жидкости, нагревают на горячей бане; при необходимости добавляют несколько кристаллов нитрата аммония и дают постоять. В присутствии иона PO43 – выпадает желтый осадок (NH4)3H4[P(Mo2O7)6].
Опыт 6. Обнаружение иона SiO32-.
Выполнение: к 3–4 каплям исследуемого раствора прибавляют 2 капли 2 н раствора NH4OH, 3 капли насыщенного раствора хлорида аммония и в течение 2–3 мин нагревают на водяной бане. В присутствии аниона SiO32 – выпадает белый студенистый осадок кремниевых кислот.
Опыт 7. Обнаружение аниона NO3-.
Выполнение: на чистое и сухое часовое стекло (капельную пластинку) помещают 3–4 капли раствора дифениламина в концентрированной серной кислоте, вносят в него стеклянной палочкой немного исследуемого раствора и перемешивают. В присутствии NO3 – появится интенсивно-синяя окраска.
Опыт 8. Обнаружение иона ВО2-.
Выполнение: отбирают в тигель или фарфоровую чашку 5–6 капель анализируемого раствора, выпаривают досуха, дают остыть, приливают к сухому остатку 2–3 капли концентрированной серной кислоты и немного этанола Смесь поджигают. В присутствии иона BO2 – пламя имеет зеленый цвет.
Результаты проведенных опытов занесите в таблицу
|
Что делали |
Что наблюдали |
Вывод (уравнения реакций) |
Раздел II. Количественный анализ
Тема 2.1 Методы количественного анализа
Практическое занятие
«Вычисление в количественном анализе»
Концентрацией раствора называется содержание растворенного вещества в определенной массе или известном объеме раствора или растворителя.
Пример 1. Вычислите: а) массовую долю (ω, %); б) молярную (С, моль/дм3), в) молярную концентрацию эквивалента (С (1/z, А)); г) моляльную (Сm) концентрации раствора Н3РО4, полученного при растворении 18 г. кислоты в 282 см3 воды, если плотность его 1,031 г./см3. Чему равен титр (Т, г/см3) этого раствора?
Решение
(А)) показываетwа) Массовая доля растворенного вещества А (число грамм (единиц массы) вещества, содержащееся в 100 г. (единиц массы) раствора.
или
или
где m(A) – масса растворенного вещества, г; mр-ля – масса растворителя, г; mр-ра масса раствора, г; Vр-ра – объем раствора, см3; ρр-ра – плотность раствора, г/см3.
Так как массу воды 282 см3 можно принять равной 282 г. (т. к. плотность воды равна 1г/см3), то масса полученного раствора 18 + 282 = 300 г. и, следовательно,
б) молярная концентрация, или молярность, показывает число молей (υ) растворенного вещества, содержащих в 1 л раствора:
в) молярная концентрация эквивалента (С (1/z, А)), или нормальность, показывает число моль эквивалентов растворенного вещества А, содержащихся в 1 дм3 раствора:
![]()
или С (1/z, А)=С(А) · z, где z – эквивалент. Так как z = 3, тогда М (1/3, Н3РО4) = М/3 = 97,99/3 = 32,66 г./моль,
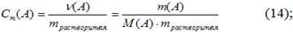
г) моляльная концентрация, или моляльность, показывает число молей растворенного вещества А, содержащихся в 1 кг растворителя:
где mрастворителя= mр-ра – m(А), отсюда
д) титром раствора называется число граммов растворенного вещества А в 1 см3 (мл) раствора:
, или зная молярную концентрацию эквивалентов и молярную массу эквивалентов растворенного вещества, титр легко найти по формуле:
.
Тема 2.2 Гравиметрический (весовой) метод анализа
Лабораторная работа №13.
«Определение кристаллизационной воды в кристаллогидратах»
Цель работы: научиться определять кристаллизационную воду в кристаллогидратах.
Оборудование: порошок голубого сульфата меди (II), бюкс, весы аналитические, сушильный шкаф, спиртовка, металлическая сетка.
Перед выполнением лабораторной работы необходимо проработать материал:
Аналитические и технохимические весы и правила взвешивания на них. Операции весового анализа: подготовка вещества к анализу, взятие
и растворение навески, высушивание и прокаливание осадка. Посуда и оборудование весового метода анализа.
Ход работы
Основные операции в гравиметрическом анализе
Взятие навески аналитической пробы.
Необходимое количество растворимого вещества отвешиваем на аналитических весах с точностью до четырех десятичных знаков.
Растворение навески.
После взятия навески приступаем к её растворению в растворителе.
Количество растворителя должно соответствовать концентрации раствора определяемого компонента. Навеску растворяют при слабом нагревании, не доводя до кипения во избежание разбрызгивания. Хорошо растворимое вещество растворяем без нагревания, на холоду.
Осаждение.
Берем осадитель, образующий наименее растворимый осадок. Для этого берем избыток осадителя (в 1,5–2 раза больше, чем необходимо).
Созревание осадка.
Выдерживаем раствор с осадком при повышенной температуре. Когда раствор над осадком становится прозрачным, проводим пробу на полноту осаждения. Для этого, к раствору, осторожно по стенке, добавляем осадитель, если в растворе не образуется мути, значит осаждение полное. Если снова произошла реакция, то проводим повторное осаждение.
