Анализ финансово – экономической деятельности организации
Формализованные модели прогнозирования финансового состояния предприятия подвергаются критике по двум основным моментам: (а) в ходе моделирования могут, а фактически и должны быть разработаны несколько вариантов прогнозов, причем формализованными критериями невозможно определить, какой из них лучше; (б) любая финансовая модель лишь упрощенно выражает взаимосвязи между экономическими показателями. На самом деле оба эти тезиса вряд ли имеют негативный оттенок; они лишь указывают аналитику на существующие ограничения любого метода прогнозирования, о которых необходимо помнить при использовании результатов прогноза.
Также методом является простой динамический анализ. Каждое значение временного ряда может состоять из следующих составляющих: тренда, циклических, сезонных и случайных колебаний. Метод простого динамического анализа используется для определения тренда имеющегося временного ряда. Данную составляющую можно рассматривать в качестве общей направленности изменений значений ряда или основной тенденции ряда. Циклическими называются колебания относительно линии тренда для периодов свыше одного года.
Метод простого динамического анализа исходит из предпосылки, что прогнозируемый показатель (Y) изменяется прямо (обратно) пропорционально с течением времени. Поэтому для определения прогнозных значений показателя Y строится, например, следующая зависимость:
|
|
(1), |
где t - порядковый номер периода.
Параметры уравнения регрессии (a, b) находятся, как правило, методом наименьших квадратов. Существуют также другие критерии адекватности ( функции потерь), например метод наименьших модулей или метод минимакса. Подставляя в формулу (1) нужное значение t, можно рассчитать требуемый прогноз.
В основу метода авторегрессионой зависимости заложена достаточно очевидная предпосылка о том, что экономические процессы имеют определенную специфику. Они отличаются, во-первых, взаимозависимостью и, во-вторых, определенной инерционностью. Последняя означает, что значение практически любого экономического показателя в момент времени t зависит определенным образом от состояния этого показателя в предыдущих периодах ( в данном случае мы абстрагируемся от влияния других факторов), т.е. значения прогнозируемого показателя в прошлых периодах должны рассматриваться как факторные признаки. Уравнение авторегрессионой зависимости в наиболее общей форме имеет вид:
|
|
(2), |
где Yt - прогнозируемое значение показателя Y в момент времени t; Yt-i - значение показателя Y в момент времени (t-i); Ai - i-й коэффициент регрессии.
Достаточно точные прогнозные значения могут быть получены уже при k = 1. На практике также нередко используют модификацию уравнения (2), вводя в него в качестве фактора период времени t, то есть объединяя методы авторегрессии и простого динамического анализа. В этом случае уравнение регрессии будет иметь вид:
|
|
(3) |
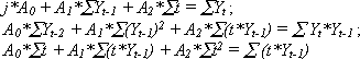
Коэффициенты регрессии данного уравнения могут быть найдены методом наименьших квадратов. Соответствующая система нормальных уравнений будет иметь вид:
|
|
(4) |
где j - длина ряда динамики показателя Y, уменьшенная на единицу.
Для характеристики адекватности уравнения авторегрессионой зависимости можно использовать величину среднего относительного линейного отклонения:
|
|
(5), |
где Y*i - расчетная величина показателя Y в момент времени i; Yi - фактическая величина показателя Y в момент времени i.
Если e < 0,15 , считается, что уравнение авторегрессии может использоваться при определении тренда временного ряда экономического показателя в прогнозных целях. Ввиду простоты расчета критерий e достаточно часто применяется при построении регрессионных моделей.
Метод многофакторного регрессионного анализа применяется для построения прогноза какого-либо показателя с учетом существующих связей между ним и другими показателями. Сначала в результате качественного анализа выделяется k факторов (X1, X2, ., Xk), влияющих, по мнению аналитика, на изменение прогнозируемого показателя Y, и строится чаще всего линейная регрессионная зависимость типа
|
|
(6), |
где Ai - коэффициенты регрессии, i = 1,2, .,k.
Значения коэффициентов регрессии (A0, A1, A2, ., Ak) определяются в результате сложных математических вычислений, которые обычно проводятся с помощью стандартных статистических компьютерных программ. [3, 156]
Раздел 2. Анализ финансово – экономической деятельности организации
2.1. Анализ производственно – хозяйственной деятельности организации
Общество с ограниченной ответственностью «Пегас» зарегистрировано 8 декабря 1997 года Распоряжением № 412 Управления по территориальному административному округу г. Липецка.
Организационная структура ООО «Пегас» по своему строению и функционированию является линейно-функциональной.
ООО «Пегас» выполняет работы на объектах промышленного и жилого комплекса г. Липецка и Липецкой области, а также г. Воронеже, в Белгородской области и других городах России.
В настоящее время ООО «Пегас» осуществляют свою деятельность по следующим направлениям:
- проектирование автономных газовых систем отопления;
- монтаж отопительных газовых систем с использованием как отечественных, так и импортных материалов и оборудования
- сервисное обслуживание установленных газовых систем.
Основной целью деятельности ООО «Пегас» является проектирование и строительно-монтажные работы. Общество осуществляет свою деятельность как по заказам ОАО «Балинвестбанк», так и со сторонними заказчиками. В соответствии с договорами подряда с ОАО «Балинвестбанк» оплата за выполненные работы, услуги производится взаимозачетом: материалами, арендой (автотранспорта, механизмов и др.), налоговыми освобождениями.
Результаты хозяйственной деятельности предприятия находят количественное выражение в экономических показателях. При формировании списка исходных показателей целесообразно учитывать взаимосвязь отдельных показателей на всех уровнях управления производством по данным текущей отчетности. Список должен носить открытый характер, т. е. в него могут быть включены показатели, раскрывающие какой - либо частный момент хозяйственной деятельности.
