Корреляционный анализ финансов предприятия
Содержание
Глава 1. Теоретические основы корреляционного анализа финансов предприятий строительства
Глава 2. Оценка финансовых показателей
Заключение
Список использованной литературы
Приложение
Глава 1. Теоретические основы корреляционного анализа финансов предприятий строительства
Корреляционный анализ является одним из методов статистического анализа взаимосвязи нескольких признаков.
Он определяется как метод, применяемый тогда, когда данные наблюдения можно считать случайными и выбранными из генеральной совокупности, распределенной по многомерному нормальному закону. Основная задача корреляционного анализа (являющаяся основной и в регрессионном анализе) состоит в оценке уравнения регрессии.
Корреляция – это статистическая зависимость между случайными величинами, не имеющими строго функционального характера, при которой изменение одной из случайных величин приводит к изменению математического ожидания другой.
1. Парная корреляция – связь между двумя признаками (результативным и факторным или двумя факторными).
2. Частная корреляция – зависимость между результативным и одним факторным признаками при фиксированном значении других факторных признаков.
3. Множественная корреляция – зависимость результативного и двух или более факторных признаков, включенных в исследование.
Финансы предприятий строительства связаны с организацией документооборота и движения материальных ресурсов на всех стадиях строительного цикла.
Специфика финансов предприятий строительства связана с большим объемом источников внешнего финансирования от сторонних заказчиков.
Предприятия строительства имеют на балансе в основном оборудование, инструменты и зарплату работников. Денежные средства предоставляют заказчики в лице бюджетных организаций, промышленных предприятий и других юридических лиц. В результате финансовые ресурсы предприятий строительства зависят от объема монтажных работ а текущем периоде.
Основная цель финансов предприятий строительства- обеспечить единую сумму фактических затрат на строительство и объем плановых смет до начала строительства. Это необходимо, чтобы провести калькуляцию всех строительных работ и разработать техническую документацию.
Корреляционный анализ имеет своей задачей количественное определение тесноты связи между двумя признаками (при парной связи) и между результативным признаком и множеством факторных признаков (при многофакторной связи).
Корреляционный анализ– это группа статистических методов, направленная на выявление и математическое представление структурных зависимостей между выборками.
Корреляционный анализ есть метод установления связи и измерения ее тесноты между наблюдениями, которые можно считать случайными и выбранными из совокупности, распределенной по многомерному нормальному закону.
Корреляционной связью называется такая статистическая связь, при которой различным значениям одной переменной соответствуют разные средние значения другой. Возникать корреляционная связь может несколькими путями. Важнейший из них- причинная зависимость вариации результативного признака от изменения факторного.
Практическая реализация корреляционного анализа включает следующие этапы:
ü постановка задачи и выбор признаков;
ü сбор информации и ее первичная обработка;
ü предварительная характеристика взаимосвязей;
ü устранение мультиколлинеарности (взаимозависимости факторов) и уточнение набора показателей путем расчета парных коэффициентов корреляции;
ü исследование факторной зависимости и проверка ее значимости;
ü оценка результатов анализа и подготовка рекомендаций по их практическому использованию.
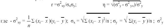
Корреляционный анализ решает задачу измерения тесноты связи между варьирующими переменными и оценки факторов, оказывающих наибольшее влияние на результирующий признак. Различают парную и множественную корреляцию. В первом случае изучается связь между одним фактором и результативным показателем, во втором - между несколькими факторами и результативным показателем. Теснота связи оценивается с помощью коэффициента корреляции (при линейной зависимости) r, или корреляционного отношения (при нелинейной зависимости) η.
Величины этих показателей определяется так:
Y - среднеквадратическое отклонение эмпирических (фактических) значений y;
σ2 yx - среднеквадратическое отклонение у от теоретических значений ух.
Значения этих коэффициентов колеблются от 0 до 1. При η(r)= 0 связь межу показателями отсутствует, если η (r) = 1, то связь функциональная. Если η (r) имеет отрицательное значение, то связь между показателями отрицательная.
При величине показателей:
0,1 - 0,3 . связь слабая;
0,3 - 0,5 . умеренная;
0,5 - 0,7 . заметная;
0,7 - 0,9 . высокая;
0,9 - 0,99 . весьма высокая.
Исследователя нередко интересует, как связаны между собой две или большее количество переменных в одной или нескольких изучаемых выборках. Например, могут ли учащиеся с высоким уровнем тревожности демонстрировать стабильные академические достижения, или связана ли продолжительность работы учителя в школе с размером его заработной платы, или с чем больше связан уровень умственного развития учащихся — с их успеваемостью по математике или по литературе и т.п.
Такого рода зависимость между переменными величинами называется корреляционной, или корреляцией. Корреляционная связь — это согласованное изменение двух признаков, отражающее тот факт, что изменчивость одного признака находится в соответствии с изменчивостью другого.
Корреляционные связи — это вероятностные изменения, которые можно изучать только на представительных выборках методами математической статистики. «Оба термина, — пишет Е.В. Сидоренко, — корреляционная связь и корреляционная зависимость — часто используются как синонимы. Зависимость подразумевает влияние, связь — любые согласованные изменения, которые могут объясняться сотнями причин. Корреляционные связи не могут рассматриваться как свидетельство причинно-следственной зависимости, они свидетельствуют лишь о том, что изменениям одного признака, как правило, сопутствуют определенные изменения другого.
Корреляционная зависимость - это изменения, которые вносят значения одного признака в вероятность появления разных значений другого признака (Е.В. Сидоренко, 2000).
Задача корреляционного анализа сводится к установлению направления (положительное или отрицательное) и формы (линейная, нелинейная) связи между варьирующими признаками, измерению ее тесноты, и, наконец, к проверке уровня значимости полученных коэффициентов корреляции.
Корреляционные связи различаютсяпо форме, направлению и степени (силе).
По форме корреляционная связь может быть прямолинейной или криволинейной. Прямолинейной может быть, например, связь между количеством тренировок на тренажере и количеством правильно решаемых задач в контрольной сессии. Криволинейной может быть, например, связь между уровнем мотивации и эффективностью выполнения задачи (см. рис. 1). При повышении мотивации эффективность выполнения задачи сначала возрастает, затем достигается оптимальный уровень мотивации, которому соответствует максимальная эффективность выполнения задачи; дальнейшему повышению мотивации сопутствует уже снижение эффективности.
