Оценка объекта недвижимости
4. Оценка объекта по методу сравнения продаж
Стоимость объекта оценки по методу сравнения продаж определяется в приведенной ниже последовательности
1. На основании исходных данных о характеристиках сопоставимых с оцениваемым объектов А, Б, В и Г
Таблица 3. Характеристики объектов-аналогов
|
Показатели |
Сопоставимые объекты | |||
|
А |
Б |
В |
Г | |
|
Цена продажи, тыс. руб.; |
6,05 |
4,65 |
5,31 |
5,66 |
|
Полезная площадь здания, кв. м. |
1524,00 |
2024,00 |
3224,00 |
1824,00 |
|
Время продажи, месяцы |
3 |
3 |
1 |
1 |
|
Местоположение (хуже, лучше, аналог) |
лучше |
хуже |
хуже |
Хуже |
|
Состояние объекта (хуже, лучше, аналог) |
лучше |
аналог |
аналог |
лучше |
2. Проводится корректировка цен продажи сопоставимых объектов, т. к. они отличаются по своим характеристикам от оцениваемого объекта.
В качестве единицы сравнения объектов принимается 1 кв. м. полезной площади здания.
Корректировка цен продажи сопоставимых объектов (в расчете на 1 кв. м полезной площади) осуществляется последовательно по каждому показателю (время продажи, местоположение и состояние объекта). Для этого выбираются два объекта, отличающиеся по данному показателю и имеющие сходные иные характеристики. Разница в цене выбранной пары объектов является абсолютной величиной корректировки по данному показателю, на эту величину уменьшается либо увеличивается (в зависимости от того, лучше или хуже сопоставимый объект по сравнению с оцениваемым) цена каждого сопоставимого объекта. Для корректировки по времени продажи рассчитывается рост цены за 1 месяц, затем определяются цены продажи сопоставимых объектов на дату оценки.
Величина корректировки по каждому показателю и каждому объекту записывается в таблицу 5 либо со знаком «–»» (если сопоставимый объект по данному показателю хуже, чем оцениваемый), либо со знаком «–» (если сопоставимый объект по данному показателю лучше, чем оцениваемый).
Таблица 4. Корректировка цен продажи сопоставимых объектов
|
№ n/n |
Показатели |
Сопоставимые объекты | |||
|
А |
Б |
В |
Г | ||
|
1 |
Цена продажи в расчете на 1 кв. м полезной площади здания |
6,05 |
4,65 |
5,31 |
5,66 |
|
2 |
Величина корректировки по времени продажи |
0,33 |
0,33 |
0,33 |
0,33 |
|
3 |
Скорректированная по времени продажи цена |
6,71 |
5,31 |
5,31 |
5,66 |
|
4 |
Величина корректировки по местоположению |
-1,05 | |||
|
5 |
Скорректированная по местоположению цена |
5,66 |
5,31 |
5,31 |
5,66 |
|
6 |
Величина корректировки по состоянию объекта |
-0,35 |
-0,35 | ||
|
7 |
Скорректированная по всем показателям сравнения цена |
5,31 |
5,31 |
5,31 |
5,31 |
В результате расчетов, была получена скорректированная по всем показателям цепа продажи (за 1 кв. м.) сопоставимых объектов, которая принимается в качестве стоимости 1 кв. м. полезной площади оцениваемого здания = 5,31 тыс. руб.
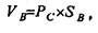
3. Определяется стоимость оцениваемого здания – VВ
где: PС – стоимость 1 кв. м. полезной площади оцениваемого здания, тыс. руб.;
SB – полезная (арендная) площадь оцениваемого здания (без учета сдаваемой в аренду площади подвала), кв. м.
PC=5,31 тыс. руб.
SB =2828 кв. м.
VB=5,31*2828=15016,68 тыс. руб.
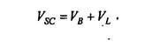
4. Определяется стоимость всего оцениваемого объекта недвижимости по методу сравнения продаж (VSC) путем суммирования стоимости здания (VB) и стоимости земельного участка (VL):
VL=6836,20 тыс. руб.
VB=15016,68 тыс. руб.
VSC=6836,20+15016,68=21852,88 тыс. руб.
5. Оценка объекта по методу дисконтирования доходов
Для определения стоимости объекта по методу дисконтирования доходов анализируются доходы и расходы за весь период коммерческого использования здания.
