Оценка объекта недвижимости
1. Определяется потенциальный валовой доход от аренды здания – PGI:
rB – арендная плата за 1 кв. м полезной площади здания в месяц, тыс. руб.;
Sp – полезная площадь здания, кв. м.;
rb – арендная плата за 1 кв. м полезной площади подвала в месяц, тыс. руб.;
Sb – полезная площадь подвала, кв. м.;
m – количество месяцев получения арендной платы в анализируемом году.
2. Определяется действительный валовой доход – EGI:
где k – коэффициент заполняемости здания (доля сданных в аренду площадей).
3. Определяются текущие операционные расходы (СОЕ) по эксплуатации здания путем суммирования:
• фонда оплаты труда персонала;
• начислений на заработную плату (единый социальный налог) в размере 35, 6% от фонда оплаты труда персонала;
• платежей за коммунальные услуги;
• прочих расходов;
• амортизационных отчислений на восстановление здания в размере 1% от полной восстановительной стоимости здания (VR).
• налога на имущество в размере 2% от остаточной стоимости здания в каждом анализируемом году.
При расчете общей суммы платежей за коммунальные услуги и прочих расходов полезная площадь подвала не учитывается.
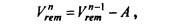
Остаточная стоимость здания (Vnrem) в каждом анализируемом году, начиная со второго, определяется по формуле:
где: Vn-1rem – остаточная стоимость здания в предыдущем году тыс. руб.;
А – амортизационные отчисления на восстановление здания в размере 1% от полной восстановительной стоимости здания, тыс. руб.
4. Определяется чистый операционный доход от аренды (NOI1) как разница между действительным валовым доходом и текущими операционными расходами:
5. Определяется денежный поток (CF) как общий чистый операционный доход от здания (с учетом дополнительного дохода от кафе):
где NOI – чистый операционный доход от кафе, тыс. руб.
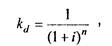
6. Определяется коэффициент дисконтирования – kd
где: i – ставка дисконтирования, доли единицы.
7. Определяется дисконтированный денежный поток – DCF:
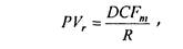
8. Определяется текущая стоимость перепродажи здания (реверсии) в конце срока его коммерческого использования – PVr.
где: DCFm, – дисконтированный денежный поток последнего, 5‑го года;
R – коэффициент капитализации для здания, который определяется на основе исходных данных по сопоставимым с оцениваемым объектам.
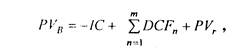
9. Определяется текущая стоимость здания – РVB:
где: IС – единовременные инвестиции, т.е. затраты на текущий ремонт помещений в здании, тыс. руб.
10. Определяется стоимость всего объекта недвижимости по метолу дисконтирования доходов – VDl:
6. Согласование результатов оценки
Анализируются все полученные по трем методам оценки значения стоимости объекта. Для этого кратко описываются преимущества и недостатки каждого из использованных методов оценки применительно к оцениваемому объекту с учетом его специфических особенностей (местоположения, доходности и т.п.) и состояния рынка недвижимости. На основании этого, полученным различными методами оценкам присваиваются весовые коэффициенты в долях единицы (общая сумма коэффициентов должна быть равна единице), и определяется средневзвешенное значение стоимости объекта, которое и принимается в качестве рыночной стоимости оцениваемого объекта недвижимости.
Таблица 5 Расчет стоимости здания методом дисконтирования доходов
|
Наименование показателей |
Значение показателей по годам | ||||
|
1 год |
2 год |
3 год |
4 год |
5 год | |
|
Полезная площадь здания, кв. м |
1979,60 |
2403,80 |
2545,20 |
2686,60 |
2686,60 |
|
Полезная площадь подвала, кв. м |
89,60 |
108,80 |
115,20 |
121,60 |
121,60 |
|
Ставка арендной платы за 1 кв. м полезной площади здания в месяц, тыс. руб. |
0,30 |
0,32 |
0,35 |
0,37 |
0,40 |
|
Ставка арендной платы за 1 кв. м полезной площади подвала в месяц, тыс. руб. |
0,10 |
0,11 |
0,12 |
0,12 |
0,13 |
|
Потенциальный валовой доход от аренды здания, тыс. руб. |
3563,28 |
9345,97 |
10628,76 |
11992,98 |
12766,72 |
|
Потенциальный валовой доход от аренды подвала, тыс. руб. |
8,96 |
11,75 |
13,36 |
15,08 |
16,05 |
|
Итого потенциальный валовой доход, тыс. руб. |
3572,24 |
9357,72 |
10642,12 |
12008,06 |
12782,77 |
|
Коэффициент заполняемости |
0,7 |
0,85 |
0,9 |
0,95 |
0,95 |
|
Действительный валовой доход, тыс. руб. |
2500,57 |
7954,07 |
9577,91 |
11407,66 |
12143,64 |
|
Фонд оплаты труда персонала, тыс. руб. |
240 |
480 |
480 |
480 |
480 |
|
Единый социальный налог, тыс. руб. |
85,44 |
170,88 |
170,88 |
170,88 |
170,88 |
|
Плата за коммунальные услуга, тыс. руб. |
593,88 |
1442,28 |
1527,12 |
1611,96 |
1611,96 |
|
Прочие расходы, тыс. руб. |
356,328 |
865,368 |
916,272 |
967,176 |
967,176 |
|
Остаточная стоимость здания, тыс. руб. |
2897,23 |
2862,74 |
2828,25 |
2793,75 |
2759,26 |
|
Налог на имущество, тыс. руб. |
57,94 |
57,25 |
56,56 |
55,88 |
55,19 |
|
Амортизационные отчисления на восстановление здания, тыс. руб. |
34,49 |
34,49 |
34,49 |
34,49 |
34,49 |
|
Итого текущие операционные расходы, тыс-руб. |
4265,32 |
5913,02 |
6013,58 |
6114,14 |
6078,95 |
|
Чистый операционный доход от аренды, тыс. руб. |
-1764,75 |
2041,05 |
3564,33 |
5293,52 |
6064,68 |
|
Чистый операционный доход от кафе, тыс. руб. |
120 |
240 |
240 |
240 |
240 |
|
Денежный поток, тыс. руб. |
-1644,75 |
2281,05 |
3804,33 |
5533,52 |
6304,68 |
|
Ставка дисконтирования, % |
22 |
25 |
27 |
29 |
30 |
|
Коэффициент дисконтирования |
0,82 |
0,64000 |
0,48819 |
0,36111 |
0,26933 |
|
Дисконтированный денежный поток, тыс. руб. |
-1348,16 |
1459,87 |
1857,24 |
1998,22 |
1698,03 |
|
Инвестиции (затраты на ремонт), тыс. руб. |
1200 |
0 |
0 |
0 |
0 |
|
Текущая стоимость перепродажи (реверсии) здания, тыс. руб. |
15,436 | ||||
|
Стоимость здания по методу дисконтирования доходов, тыс. руб. |
19901,2 | ||||
