Управление безубыточностью
Конечный результат получился закономерно таким же, как и в предыдущем случае. Но теперь появляется возможность планировать величину прибыли, так как с изменением объема реализации изменяются только переменные издержки, в то время как фиксированные остаются неизменными. В данном формате появился новый элемент - вложенный доход (Contribution Margin). По смыслу этой характеристики вложенный доход должен покрыть все постоянные издержки и обеспечить заданное значение прибыли. Многие авторы используют другие переводы этого термина: «вклад на покрытие», «маржинальный доход», «валовая маржа».
Для целей детального анализа используется более подробный формат, представленный табл. 3. Здесь появляется новый элемент для анализа - вложенный доход на единицу продукции, который остается постоянным, пока не изменится цена единицы продукции и переменные затраты на единицу продукции.
Таблица 3
Аналитический формат отчета о прибыли на основе вложенного дохода
|
Всего |
На единицу продукции |
Процент | |
|
Выручка (500 единиц продукции) |
250000 |
500 |
100 % |
|
Минус переменные издержки |
150000 |
300 |
60 % |
|
Вложенный доход |
100000 |
200 |
40 % |
|
Минус постоянные издержки |
80000 | ||
|
Чистая прибыль |
20000 |
Если объем реализации составляет 400 единиц продукции, отчет о прибыли на основе вложенного дохода имеет следующий вид:
|
Всего |
На штуку |
Процент | |
|
Выручка (400 штук) |
200,000 |
500 |
100 % |
|
Минус переменные издержки |
120,000 |
300 |
60 % |
|
Вложенный доход |
80,000 |
200 |
40 % |
|
Минус постоянные издержки |
80,000 | ||
|
Чистая прибыль (убыток) |
$ -0- |
Из приведенных численных данных следует, что если компания продает 400 единиц товара, она получит нулевую прибыль (ни прибыли, ни убытков). Этот объем продаж и носит название “точки безубыточности” (break-even point).
Точка безубыточности – это:
- объем продаж, при котором выручка равна суммарным издержкам, или
- объем продаж, при котором вложенный доход равен постоянным издержкам.
Как только достигнута точка безубыточности, каждая дополнительно проданная единица продукции приносит дополнительную прибыль, равную вложенному доходу на единицу продукции.
1.2 Расчет и анализ точки безубыточности
Для расчета точки безубыточности используются простые соотношения, основанные на балансе выручки:
Выручка = Переменные издержки + Постоянные издержки + Прибыль.
Пусть для примера исходные данные имеют следующий вид:
|
На ед. прод., у.е. |
Процент | |
|
Цена единицы продукции |
500 |
100 % |
|
Переменные издержки |
300 |
60 % |
|
Единичный вложенный доход |
200 |
40 % |
Постоянные издержки составляют 80,000 у.е. в месяц.
Если X - точка безубыточности в единицах продукции, то с помощью основного уравнения получим
500X = 300X + 80000
откуда X = 400 единиц продукции, или 500 x 400 = 20000 у.е
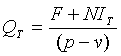
Более общая схема рассуждения имеет следующий вид. Пусть p - цена единицы продукции, а Q - объем производства за некоторый промежуток времени. Запишем основное уравнение модели, символизирующее тот факт, что прибыль до выплаты налогов NI определяется суммарной выручкой за вычетом всех постоянных и переменных издержек
где
F - величина постоянных издержек за период времени,
v - величина переменных издержек на единицу продукции.
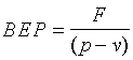
Точка безубыточности (BEP) по определению соответствует условию NI = 0, откуда
.
Таким образом, для того, чтобы рассчитать точку безубыточности, необходимо величину постоянных издержек разделить на разницу между ценой продаж продукции и величиной переменных издержек на единицу продукции. Последняя носит название единичного вложенного дохода (Unit Contribution Margin).
Если задача заключается в определении целевого объема продаж QT, т.е. такого значения объема продаж, которое соответствует заданному значению прибыли NIT, то используем аналогичное соотношение
откуда
.
Важной характеристикой успешной работы предприятия является величина запаса безопасности (Safety Margin), которая в относительной форме определяется в виде разности между запланированным объемом реализации и точкой безубыточности
.
Чем выше этот показатель, тем безопаснее себя чувствует предприятие перед угрозой негативных изменений (уменьшения выручки или увеличения издержек).
Сущность анализа безубыточности полностью раскрывается на графике безубыточности (рис. 1). Этот график показывает объем произведенной продукции в натуральном выражении на горизонтальной оси и величину дохода или издержек в стоимостном выражении на вертикальной оси. Можно было бы построить аналогичный график, откладывая по горизонтальной оси объем выпуска в процентах к полной мощности.
Рис. 1. Графическое представление точки безубыточности АС - линия совокупных издержек; ОD - линия дохода
Линия АВ, показывающая постоянные издержки, которые не меняются в зависимости от объема, проходит параллельно оси Х. Вертикальное расстояние между линией АВ и линией АС при любом определенном объеме характеризует совокупные переменные издержки производства данного объема продукции, а вертикальное расстояние между ОА и АС при любом определенном объеме производства характеризует совокупные издержки производства данного объема. Когда продукция не реализуется, совокупные издержки не равны нулю, а равны ОА. Когда объем выпуска равен Х, совокупные издержки представлены линией СХ, которая равна = ХВ + ВС (ХВ - фиксированные элементы издержек (то же, что ОА) и ВС - переменные элементы издержек).
