Биологическая функция нуклеиновых кислот
Введение
Термин нуклеиновые кислоты был предложен немецким химиком Р. Альтманом в 1889г после того, как эти соединения были открыты в 1868г. швейцарским врачом Ф. Мишером. Он экстрактировал клетки гнойного пневмококка разбавленной соляной кислотой в течение нескольких недель и получил в остатке почти чистый ядерный материал, назвав его нуклеином (от лат. nucleus — ядро). По своим свойствам нуклеин резко отличался от белков: он был кислым, не содержал серы, было много фосфора. Нуклеин хорошо растворялся в щелочах, но не растворялся в разбавленных кислотах.
Впоследствии из животных, растительных объектов и микроорганизмов были выделены разные нуклеиновые кислоты. Их наилучшим источником оказались клетки, имеющие большие ядра.
Химически нуклеиновые кислоты представляют собой биополимеры, состоящие из мономерных звеньев — нуклеотидов. Каждый нуклеотид содержит три различных компонента: азотистое (пуриновое или пиримидиновое) основание, моносахарид пентозу (рибозу или дезоксирибозу) (Rb), остаток фосфорной кислоты (P). Как показал специфический гидролиз (кислотный, щелочной), а также гидролиз ферментами-нуклеазами, эти компоненты соединены друг с другом в такой последовательности: азотистое основание — пентоза — фосфат. Соседние нуклеотиды связаны друг с другом посредством эфирной связи между моносахаридом и фосфатом другого нуклеотида.
Поскольку остаток пентозы и фосфат соединены эфирной связью, то при образовании полинуклеотидной цепи связь Rb-P-Rb называется фосфодиэфирной.
Азотистые основания не участвуют в образовании никаких других ковалентных связей, помимо связывающей их с остатками пентозы сахарофосфатной цепи. Именно последовательность азотистых оснований в полинуклеотидной цепи определяет уникальную структуру и специфическую функцию молекул нуклеиновых кислот.
Гидролиз нуклеиновых кислот, выделенных из ядер клеток, показал, что они состоят из пуриновых (аденина, гуанина) и пиримидиновых (цитозина, тимина) оснований, 2-дезоксирибозы и фосфорной кислоты. Эта нуклеиновая кислота была названа дезоксирибонуклеиновой кислотой (ДНК). Из дрожжей была получена другая по химическому составу нуклеиновая кислота, содержащая вместо тимина урацил и вместо дезоксирибозы рибозу. Ее назвали рибонуклеиновой кислотой (РНК).
Биологическая функция нуклеиновых кислот оставалась неизвестной в течение почти столетия. Только в 40-х гг. XXв. О.Т . Эвери, К. Мак-Леод и М. Мак-Карти установили, что эти биополимеры ответственны за хранение, репликацию (воспроизведение), транскрипцию (передачу) и трансляцию (воспроизведение на белок) генетической (наследственной) информации. В 1953г., когда Дж. Уотсон и Ф. Крик сообщили о расшифровке молекулярной структуры ДНК, биохимия и вообще биология начала отсчет новой эры познания живой материи.
1. Обзор литературы
1.1. Структура нуклеотидов
Пуриновые основания имеют следующее строение
Сам пурин не входит в состав нуклеотидов, а входят его производные – аденин (А), или 6-аминопурин, и гуанин (G), или 2-амино-6-оксипурин.
Пиримидиновые азотистые основания имеют следующее строение
Пиримидин также не входит в состав нуклеотидов, а входят его производные — урацил (U), или 2,4-диоксипиримидин, тимин (Т), или 5-метилурацил, цитозин (С), или 2-окси-4-аминопиримидин.
В составе ДНК и РНК встречаются более редкие азотистые основания, например, 5-метилцитозин, 4-тиоурацил и дигидроурацил; они получили название минорных оснований.
В состав ДНК входят ![]()
-D-2-дезоксирибоза, в состав РНК —
-D-рибоза. И в том, и в другом случае эти монозы являются пентозой (пять углеродных атомов), различия касаются лишь второго углеродного атома. В рибозе углерод-2 связан с ОН-группой, тогда как в дезоксирибозе на месте ОН-группы находится Н, отсюда префикс "дезокси". Буквы
и D отражают специфическую конфигурацию при атомах С-1' и С-4' фуранозного цикла:
Нуклеозиды — соединения, в которых пуриновые или пиримидиновые основания связаны с рибозой (рибонуклеозиды) или дезоксирибозой (дезоксирибонуклеозиды). Нуклеозиды относятся к N-гликозидам: атом С-1' рибозы или дезоксирибозы связан с N-9 пуринового или N-1 пиримидинового основания:
Аденозин 2'-дезоксиаденозин
В состав ДНК и РНК входят следующие нуклеозиды.
ДНК
Аденин + дезоксирибоза = дезоксиаденозин.
Гуанин + дезоксирибоза = дезоксигуанозин.
Цитозин + дезоксирибоза = дезоксицитидин.
Тимин + дезоксирибоза = дезокситимидин.
РНК
Аденин + рибоза = аденозин.
Гуанин + рибоза = гуанозин.
Цитозин + рибоза = цитидин.
Урацил + рибоза = уридин.
Кроме выше перечисленных главных нуклеозидов встречаются и минорные нуклеозиды, из которых наиболее распространены дигидроуридин, псевдоуридин; в последнем отсутствует обычная N-гликозидная связь: в нем атом С-1' рибозы соединен с атомом С-5 урацила.
Нуклеозиды лучше растворимы в воде, чем исходные азотистые основания. Их легко можно разделить и идентифицировать методом тонкослойной хроматографии. Они устойчивы к щелочам, но легко гидролизуются кислотами, а также ферментом нуклеозидазой.
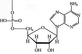
Нуклеотиды представляют собой нуклеозиды с присоединенной эфирной связью к остатку рибозы или дезоксирибозы фосфатной группой. В образовании связи участвует 5'-углеродный атом пентозы. В зависимости от строения пентозы все нуклеотиды можно разделить на рибонуклеотиды и дезоксирибонуклеотиды:
Аденозин-5'-монофосфат 2'-Дезоксиаденозин-5'-монофосфат
В зависимости от числа остатков фосфорной кислоты нуклеотиды подразделяются на нуклеозид-5'-монофосфаты, нуклеозид-5'-дифосфаты и нуклеозид-5'-трифосфаты. В принципе нуклеозид может быть фосфорилирован до тетрафосфата.
Ниже приводятся названия и сокращенные обозначения нуклеотидов:
Названия Сокращенные обозначения
Рибонуклеотиды
Аденозинмоно-, ди-, трифосфат АМР, АDР, АТР
Гуанозинмоно-, ди-, трифосфат GМР, GDР, GТР
Цитидинмоно-, ди-, трифосфат СМР, СDР, СТР
Уридинмоно-, ди-, трифосфат UМР, UDР, UТР
Дезоксирибонуклеотиды
Дезоксоаденозинмоно-, ди-, трифосфат dАМР, dАDР, dАТР
Дезоксигуанозинмоно-, ди-, трифосфат dGМР, dGDР, dGТР
Дезоксицитидинмоно-, ди-, трифосфат dСМР, dCDР, dCТР
Дезокситимидинмоно-, ди-, трифосфат dТМР, dTDР, dTTP
