Индивидуальное развитие как новая стратегия эволюции
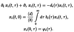
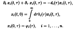
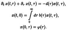
где D – смертность. Совершая предельный переход при At – О, приходим к дифференциальному уравнению
Важную роль в динамике системы играют также процессы воспроизводства, характеризуемые рождаемостью В. Эта величина показывает, сколько потомков производят в момент времени t особи, достигшие возраста т. В качестве начального условия по г для уравнения мы получаем величину
Оно дополняется заданием второго начального условия
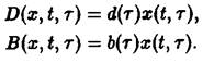
Уравнения, с начальными условиями, задают модель Маккендрика–фон Фёрстера для популяций с возрастной структурой. Эта модель позволяет определить временную эволюцию функции плотности x по заданному начальному распределению у, если известны скорость воспроизведения и смертность. Решения, получаемые в рамках этой модели при различных конкретных функциях D и В, подробно изучены (McKendrick, 1926; von Foerster, 1959; Полу-эктов, 1974; Полуэктов и др., 1980; Романовский и др., 1984). Смертность D и рождаемость В, вообще говоря, сложным образом зависят от плотности x и), что приводит к существованию разнообразных структур решений. Однако уравнения в этом случае также становятся весьма сложными, и их аналитическое решение становится невозможным. Поэтому мы сначала рассмотрим простейший случай, когда рождаемость и смертность линейны по плотности x и не зависят явно от времени:
Реалистические примеры функций
и
представлены на рис. 1. Смертность по прошествии первого времени после рождения стабилизируется на относительно низком уровне и начинает снова возрастать лишь при больших г; в дальнейшем мы, кроме того, принимаем предположение
Рождаемость, как правило, достигает своего максимального значения лишь по истечении определенного периода после начала фазы зрелости и в старости снова понижается.
Учитывая соотношения, мы получаем из уравнений – систему уравнений
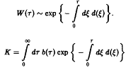
Поведение решений системы уравнений вполне очевидно. Из первого уравнения мы получаем, прежде всего, вероятность W того, что особь достигает возраста т:
В зависимости от величины К возможны три качественно различных случая. При К > 1 число новорожденных в единицу времени больше числа умерших, доминируют процессы воспроизводства, и при t → оо мы получаем при всех г расходящуюся плотность x – оо. Наоборот, при К<1 воспроизводство слишком слабо, и при t – оо мы получаем x –* О при всех т, т.е. вид вымирает. Наконец, при К = I оба процесса находятся в равновесии, соответственно, существует бесконечно много стационарных состояний, и только от начального условия <р зависит, какое из них реализуется. Разумеется, в случаях К > 1 и К < 1 результат не зависит от начального условия <р.
Тем самым мы получаем качественную характеристику динамики индивидуального развития внутри отдельного вида при упрощающем предположении. Исследуем теперь, какие модификации возникают в том случае, когда п видов развиваются в соответствии с уравнениями, аналогичными уравнению, и, кроме того, взаимодействуют между собой посредством процесса отбора. Затронутая проблема связана с вопросом оптимальной стратегии старения, сложившимся в ходе эволюции.
4. Процессы отбора в моделях с непрерывным старением
Прежде всего систему п не взаимодействующих между собой видов можно описать уравнениями, обобщающими уравнение:
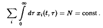
В качестве простого метода создания давления отбора мы по аналогии с моделью Эйгена потребуем постоянства общего числа особей в системе:
Чтобы условие выполнялось, необходимо модифицировать систему уравнений 13, что можно осуществить различными способами. Особый интерес представляют две возможности.
1. Введение потоковых членов в модель Эйгена.
Такая операция соответствует подстановкам
в уравнение, причем во избежание патологии, например, отрицательных концентраций, должны выполняться неравенства
2. Регуляция скорости воспроизведения.
Регуляция достигается с помощью подстановки
И в том, и в другом случае существенно, что модификации либо видо-, либо возрастоспециф ич ны.
Если равенство продифференцировать по времени и воспользоваться уравнением с подстановками, то получится следующее:
где по определению
Учитывая положительность
мы получаем
и, наконец, приходим к системе уравнений
Проводя аналогичные вычисления с использованием подстановок, получаем, полагая
систему уравнений
Уравнения и описывают временную эволюцию систем стареющих конкурирующих между собой видов и тем самым удобны для математического анализа индивидуального развития и отбора.
В отличие от системы уравнений для независимых видов дифференциальные уравнения и связаны между собой через определенное соотношением среднее значение. С одной стороны, эта связь выступает как математическое выражение взаимодействия между видами, а с другой – исключает возможность получения аналитических решений и обусловливает тем самым весьма широкое применение численных методов.
Ряд интересных утверждений может быть высказан и без явного решения системы уравнений. В частности, необходимо выяснить, каким образом, зная функции d, и Ь, можно определить те виды, которые замещают другие и поэтому доминируют при больших временах.
Необходимый для этого качественный анализ динамики удается осуществить с помощью подстановок
где
