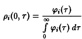
Индивидуальное развитие как новая стратегия эволюции
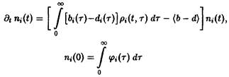
– общее число частиц,
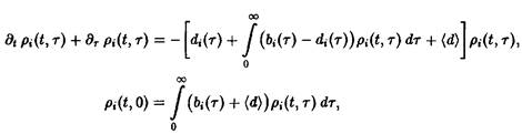
– нормированная возрастная структура i-ro рода. Рассмотрим сначала ситуацию, описываемую уравнением. Пользуясь подстановкой, получаем следующие уравнения для п, и pi:
и
Уравнение имеет в точности такую же структуру, как уравнение Эйгена, с тем лишь различием, что теперь приспособленность
– функционал нормированной возрастной структуры
и поэтому может изменяться во времени.
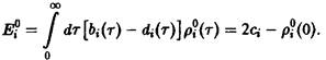
Его временная эволюция определяется изменением во времени возрастное структуры
, которая в свою очередь зависит от динамики чисел через уравнение. Зависимость приспособленности нормированной возрастной структуры приводит к тому, что виды могут повысить свои шансы на успех в ходе отбора за счет подходящего распределения особей по возрастным группам; иначе говоря, в ходе эволюции происходит замещение одних видов другими с оптимальной возрастное структурой. Каким образом по заданным функциям
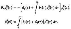
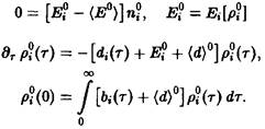
можно определить какие виды выживут в конце концов? Чтобы ответить на этот вопрос, рассмотри стационарные решения уравнений и при больших временах
Мы получаем
При рассмотрении уравнения Эйгена мы обнаружили, что уравнение допускает п различных стационарных решений вида
т.е. стационарны только такие ситуации, в которых все N особей представлены одним видом. С учетом соотношения из формулы следует, что
поэтому уравнение для
замыкается. Таким образом, мы получаем:
Вводя сокращенные обозначения
запишем уравнение в виде
и далее, с помощью соотношения,
а также
вследствие того, что по определению р,
Тем самым мы полностью охарактеризовали стационарные решения систем уравнений. Можно показать, что при заданных
и
уравнение всегда допускает ровно одно решение
Величины Cj в силу соотношения определяют, поэтому
однозначно определяются соотношением.
Из стационарных решений устойчиво только одно, и при t –* оо именно оно описывает поведение системы. Для этого решения справедливы неравенства
т.е. выживает вид, обладающий наибольшей приспособленностью. Соотношения – позволяют определить этот вид посредством формулы
по известным функциям
. Тем самым для системы конкурирующих видов с возрастной структурой, описываемой уравнением, становится возможным определять на основе заданных зависящих от возраста скорости воспроизведения и смертности тот из видов, который побеждает в ходе отбора. Используя соотношения, получаем
Можно показать, что
Таким образом, если мы ограничимся видами с
т.е. такими, которые в отсутствие отбора сами не вымирают и то максимум величины
достигается для того вида j, для которого величина
также максимальна. Следовательно, доминирующий вид может определяться вместо соотношения соотношением
где с, – определяется формулой. Аналогичные соображения применимы и к модели (Эбелинг и др., 1986). Следует отметить, что в рассматриваемом случае соотношение получается и как определяющее уравнение для выживающего вида. Если воспользоваться определением параметров с, то соотношение можно рассматривать как разумное обобщение соотношения.
В заключение продемонстрируем важность внутривидовой возрастной структуры для процесса отбора на простом примере динамики, описываемой уравнением. Рассмотрим два вида с одинаковой и постоянной смертностью
и рождаемостью
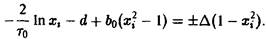
где в и в последующих соотношениях верхние знаки относятся к первому виду, а нижние – ко второму виду. Выбранные рождаемости представлены на рис. 2. Чтобы выяснить, какой вид побеждает в процессе отбора, необходимо исследовать, какая из определяемых соотношением величин с, больше. В рассматриваемом случае равенство упрощается до
или
Отсюда с учетом формулы получаем
![]()
Подставляя
находим
Графическое решение этого уравнения представлено на рис. 3. Из хода кривой мы заключаем, что Х < х2 вследствие монотонности подстановки приводит к неравенству с > С2 – Таким образом, первый вид выживает, а второй вымирает; грубо говоря, те преимущества, которыми второй вид обладает в старости, не перевешивают его недостатков в юности. Этот пример наглядно демонстрирует упрощенное описание процесса отбора с учетом возрастной структуры. В случае динамики Эй-гена оба вида характеризовались бы усредненной приспособленностью, в результате чего никакого отбора не происходило бы, и оба вида могли бы сосуществовать.
