Методы преобразования сигналовРефераты >> Радиоэлектроника >> Методы преобразования сигналов
,
но при
не существует, поэтому рассмотрим случай когда n=+1 :
(т.к.
см. разложение выше)
и случай когда n=-1:
(т.к.
)
И вообще комплексная форма:
или
или
Цифровые фильтры
Как правило, цифровой фильтр ЦФ является специализированной ЭВМ. Иногда в качестве цифрового фильтра используется универсальная ЭВМ.
Рассмотрим принцип работы ЦФ. На его вход подается сигнал х(пТ) • последовательность числовых значений, следующих с интервалом Т. При поступлении каждого очередного числа х(пТ) ЦФ производит расчет по соответствующему алгоритму и на выходе появляется выходное число у(пТ). В общем случае число у(пТ) является функцией ряда предыдущих значений как входных х^ так и выходных у чисел:
|
|
у (nT) = f [х (п Т), х (п Т— Т), х(пТ — 2Т), .,
На выходе фильтра вырабатывается последовательность чисел у(пТ), следующих с интервалом Т. Таким образом, тактовый интервал Т является общим для входных и выходных чисел.
Остановимся на основных структурных схемах линейных ЦФ.
Цифровые фильтры делятся на два большие класса: нерекурсивные и рекурсивные. В нерекурсивных фильтрах отклик зависит только от значений входной последовательности у(пТ) = Р[х(пТ),х-(пТ — Т),.,.].
В рекурсивных фильтрах отклик зависит как от значений входной последовательности, так и от предшествующих значений выходной последовательности
y(nT)=f{x(nT),x(nT—T), .,у(пТ—Т),у(пТ—2Т), .}.
Нерекурсивный цифровой фильтр. На рис. 10.19 изображена структурная схема нерекурсивного цифрового фильтра, обрабатывающего сигнал в соответствии с алгоритмом
+ . + Ьмх(пТ—МТ).
На схеме обозначены: z~l - - регистры сдвига, осуществляющие сдвиг цифровой последовательности на один такт Т\ bi — умножители на числа be, Е - сумматор.
Нерекурсивный ЦФ может быть практически осуществлен, если заданная импульсная характеристика содержит сравнительно небольшое число членов, т. е. быстро убывает с ростом п. В противном случае для получения заданной импульсной характеристики потребуется очень много ячеек памяти.
Рекурсивный цифровой фильтр. Рекурсивный ЦФ характеризуется тем, что выходное число у(пТ) зависит от ряда поступивших на вход чисел и от предшествующих выходных чисел
(1)
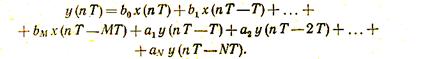
Запишем алгоритм (1) ЦФ JV-ro порядка в виде разностного уравнения соответствующего порядка
y(nT)-aly(nT—T) — .—aNy(nT-NT) = bQx(nT) + .+ Ьмх(пТ—МТ),
которое эквивалентно линейному дифференциальному уравнению Лт-го порядка для аналогового фильтра.
Правая часть уравнения (10.65) описывает нерекурсивную, левая - - рекурсивную части ЦФ. Коэффициенты ао, а\, ., un, b\> &2, ., Ьм определяются значениями элементов схемы фильтра.
Структурная схема рекурсивного фильтра, осуществляющего обработку в соответствии с алгоритмом (1), изображена на рис. 2.
|
|
|
|
|
|
|
|
|
|
|
|
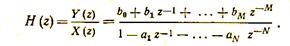
Определим системную функцию Н (z) цифрового фильтра. Для этого применим к уравнению (10.65) г-преобразование и теорему смещения
|
|
(3)
Выражение (3) связывает системную функцию фильтра со значениями его элементов. По известной (заданной) системной функции Н (z) может быть определена структура .и значения коэффициентов ЦФ.
Основным достоинством рекурсивных фильтров является сокращение числа элементов структурной схемы по сравнению с числом элементов в нерекурсивных фильтрах. Благодаря этому они позволяют реализовать медленно.затухающие х(пт-т) импульсные характеристики.
Недостатком рекурсивных фильтров являются большие ошибки округления, нежели в нерекурсивных фильтрах.
Рекурсивные фильтры позволяют реализовать любые алгоритмы типа (1), т, е. получить весьма разнообразные частотные характеристики при соблюдении следующих условий:
а) все полюса системной функции Н (z) должны лежать на 2-плоскости внутри окружности радиуса ]z| = l, т. е. система дол жна быть устойчивой;
|
|
|
Рис. 4 |
б) ошибки округления не должны нарастать в такой степени, чтобы нарушать нормальную работу фильтра
рекурсивный цифровой фильтр. Канонический рекурсивный ЦФ является результатом модификации структурной' схемы на рис. 2, реализующей фильтр с системной функцией вида (3).
