Методы преобразования сигналовРефераты >> Радиоэлектроника >> Методы преобразования сигналов
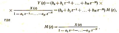
Алгоритм определения M(z) no X(z) осуществляется рекурсивным фильтром N-ro порядка, а алгоритм определения Y-(z) по найденному М (z) —нерекурсивным фильтром М-го порядка. Из рис. 4 видно, что часть блоков задержки можно объединить.
ПЕРЕЧЕНЬ ССЫЛОК
1. Гонаревский И. С. «Радиотехнические цепи и сигналы» , Москва, 1986 г.
2. Баскаков И. С. «Радиотехнические цепи и сигналы» , Москва , 1988 г.
3. Самойло К. А. «Радиотехнические цепи и сигналы» , изд. «Энергия» , 1975 г.
