Особенности учета чековой и аккредитивной формы расчетаРефераты >> Банковское дело >> Особенности учета чековой и аккредитивной формы расчета
Такой же порядок прописан в Инструкции по применению Плана счетов, согласно которой суммы по полученным в кредитной организации чековым книжкам списываются по мере оплаты выданных организацией чеков, т.е. в суммах погашения банками предъявленных ей чеков, на основании выписок банков. При этом бухгалтер производит списание оплаченной банком суммы с кредита счета 55-2 в дебет счетов учета расчетов (60, 76 и т.д.).
Суммы по чекам, выданным, но еще не оплаченным кредитной банком (не предъявленным к оплате организацией, получившей чек), остаются на счете 55-2. Иными словами, сальдо по субсчету 55-2 должно соответствовать сальдо по выписке кредитной организации.
Следовательно, для организации аналитического учета выданных, оплаченных и аннулированных чеков к субсчету 55-2 удобнее всего открыть следующие аналитические счета (субсчета второго порядка):
55-21 «Неиспользованные чеки»,
55-22 «Выданные чеки»,
55-23 «Аннулированные чеки».
Кроме того, для удобства отслеживания расчетов с поставщиками и иными кредиторами с использованием чеков предприятие также может открыть соответствующие субсчета к счету 60, например:
60-1 «Расчеты с поставщиками по текущим операциям»,
60-2 «Расчеты с поставщиками и подрядчиками по чекам, срок оплаты которых еще не наступил»;
60-3 «Расчеты с поставщиками и подрядчиками по просроченным оплатой чекам».
В этом случае передача чека поставщику будет сопровождаться внутренними записями на счетах 55-2 и 60:
Пример. ООО «Кристалл» использовало один чек для того, чтобы оплатить партию товара стоимостью 59 000 руб., в т.ч. НДС 9000 руб. Рабочим планом счетов ООО «Кристалл» предусмотрены аналитические счета к счету 55-2 в порядке, описанном выше. Поэтому при получении чековой книжки была сделана проводка с кредита счета 51 в дебет аналитического счета 55-21.
В этом случае бухгалтер ООО «Кристалл» отразит операции так:
ДЕБЕТ 41 КРЕДИТ 60-1
50 000 руб. – отражена стоимость товаров;
ДЕБЕТ 19 КРЕДИТ 60-1
9000 руб. – отражена сумма НДС по товарам;
ДЕБЕТ 68 КРЕДИТ 19
9000 руб. – предъявлен к вычету НДС по товарам;
ДЕБЕТ 55-22 КРЕДИТ 55-21
59 000 руб. – отражена передача расчетного чека поставщику;
КРЕДИТ 006
1 руб. – списан с забалансового учета один использованный чек;
ДЕБЕТ 60-1 КРЕДИТ 60-2
59 000 руб. – отражено в аналитическом учете формирование обязательства перед поставщиком, обеспеченного переданным ему чеком;
ДЕБЕТ 60-2 КРЕДИТ 55-22
59 000 руб. – отражено списание банком средств со специального счета в оплату выданного поставщику чека.
5. Не использованные чеки
Суммы по чекам, выданным предприятием, но не предъявленным к оплате в банк или не оплаченных банком, остаются на специальном счете (т.е. представляют собой сальдо счета 55-2).
Как правило, срок использования чековой книжки составляет не более 6 месяцев. По истечении этого срока оставшиеся неиспользованными чеки возвращаются в банк. При этом банк возвращает неиспользованные денежные средства на те счета, за счет которых были выданы чековые книжки. Такое восстановление средств, депонированных ранее на специальный счет, бухгалтеру нужно отразить проводками по дебету счетов 51, 52 или 66 и кредиту счета 55-2 (на основании выписок банка из специального счета и расчетного или валютного счетов).
Пример. Еще раз воспользуемся данными примера 1. Предположим, что к концу срока действия чековой книжки неиспользованными остались 5 чеков, а на специальном счете остались неиспользованные денежные средства в сумме 580 000 руб. В этом случае бухгалтер ООО «Кристалл» отразит операции, связанные с возвратом неиспользованных чеков и восстановлением неизрасходованных денежных средств на расчетный счет фирмы следующими записями:
КРЕДИТ 006
5 руб. – отражен возврат неиспользованных чеков в банк;
ДЕБЕТ 51 КРЕДИТ 55-21
580 000 руб. – отражено зачисление на расчетный счет депонированных ранее, но не использованных денежных средств.
2.2 Расчеты аккредитивами
Расчеты по аккредитиву регулируются §3 гл.46 Гражданского кодекса РФ и гл.4 Положения о безналичных расчетах в РФ.
Аккредитивная форма расчетов - форма безналичных расчетов за товары и услуги, при которой оплата предъявленных поставщиком документов об отгрузке товаров или оказании услуг производится банком поставщика (в котором у него открыт расчетный счет) за счет средств плательщика, находящихся на его расчетном счете в другом, возможно, иногороднем банке [15].
1. Что такое аккредитив.
Аккредитив представляет собой условное денежное обязательство, принимаемое банком (банк-эмитент) по поручению плательщика, произвести платежи в пользу получателя средств по предъявлении последним документов, соответствующих условиям аккредитива, или предоставить полномочия другому банку (исполняющий банк) произвести такие платежи.
Аккредитив предназначен для расчетов только с одним поставщиком по конкретной сделке. По истечении срока неиспользованные суммы аккредитива следует восстановить (зачислить) на счетах, за счет которых он был открыт.
Срок действия и порядок расчетов по аккредитиву устанавливаются в договоре между плательщиком и поставщиком, поэтому аккредитив всегда ограничен сроком использования средств (до 45 дней). Иными словами, в случае, если за установленный срок средства будут не использованы или использованы лишь частично (обычно это происходит в том случае, если поставщик несвоевременно исполняет обязанности по отгрузке товара, из-за чего не может в срок предоставить в банк документы, подтверждающие его отгрузку, которые являются основанием для осуществления оплаты с аккредитива), аккредитив будет закрыт перечислением неиспользованного остатка средств на расчетный счет покупателя или на счет его банка.
Выплаты производятся в течение срока действия аккредитива в полной сумме или по частям против представленных поставщиком реестров счетов и транспортных или приемо-сдаточных документов, удостоверяющих отгрузку товаров. Как правило, реестры счетов должны сдаваться поставщиком в обслуживающий его банк на следующий день после отгрузки товаров.
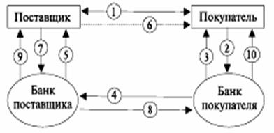
Общая схема расчетов аккредитивами [9] выглядит следующим образом (рис.1).
Рисунок 1 - Документооборот при аккредитивной форме расчетов
1 — заключение договора; 2 — заявление об открытии аккредитива; 3 —выписка об открытии аккредитива; 4 — извещение об открытии аккредитива; 5 — извещение об условиях аккредитива; 6 — отгрузка продукции; 7 — документы, подтверждающие отгрузку продукции; 8 — извещение об использовании аккредитива; 9 — зачисление средств на расчетный счет поставщика (выписка банка); 10 — выписка банка покупателя об использовании аккредитива
Сначала покупатель подает в свой банк заявление на открытие аккредитива. Это означает, что гарантируется оплата продукции, работ и услуг поставщику, если соблюдены условия договора. Далее банк покупателя (банк-эмитент) депонирует соответствующую сумму на отдельный счет для учета аккредитивов.
