Сущность и цели денежно-кредитной политикиРефераты >> Банковское дело >> Сущность и цели денежно-кредитной политики
Так показатель инфляции который приходится на срок вклада в текущем году, зависит от фактической инфляции в этом же году, необходимо рассчитать фактические темпы инфляции за текущий год, а потом определить её среднемесячный темп. По формуле получаем темп инфляции в январе 0, 20% в феврале 0,30%, в марте 0,10%, в апреле 0,50%, в мае 0,10%, в июне 0,30%, в июле 0,3%, в августе 0,59%.
Среднемесячная инфляция за период с января по август составила:
i1 = ( (i1-i0) /i0) *100
iср. = (0, 20+0,30+0,10+0,50+0,10+0,3+0,3+0,59) / 8 =0,299
Прогнозируемый годовой темп инфляции в следующем году 2%
Приведем темп инфляции в индекс цен:
i1 = 1+ (i1/100)
i = 1+ (0,299/100) = 1,00298
i = 1+ (2/100) = 1,02
Индекс инфляции за весь срок вклада:
i = (1,00298) 8* (1,02) 4 = 1,024 *1,082 = 1,108
Чтобы рассчитать реальную процентную ставку, необходимо индекс перевести в темп инфляции по формуле:
i1 = (i1 - 1) *100%
i = (1,108-1) *100%
i =10,8
Реальная процентная ставка по вкладу в банке рассчитывается по формуле И. Фишера.
rR = (0,05 - 0,108) / (1+0,108)
rR = - 0,052 (-5,2%)
Итак, если деньги вкладываются под 5% годовых, то при прогнозируемых темпах инфляции, реальный доход составит - 5,2%. Таким образом, при предлагаемой коммерческим банком процентной ставке вкладчик не сможет обеспечить сохранность своих сбережений от обесценивания.
Задача 2.
Определить соответствует ли реальное количество денег в обращении действительной потребности в них. Сделать вывод о нехватке/избытке денежных средств в экономике и о последствиях, возможных в данной ситуации. Какие могут возникнуть сложности при использовании формулы К. Маркса на практике? Как определяется действительная потребность в деньгах в РФ?
|
Стоимость проданных в кредит товаров, млрд. руб. |
774,0 |
|
Сумма выплаченного государственного долга, млрд. р. |
359,2 |
|
Задолженность предприятий железнодорожного транспорта бюджету, млрд. р. |
422,3 |
|
Стоимость оказанных услуг, млрд. р. |
108,8 |
|
Стоимость произведённых и реализованных товаров, млрд. р. |
1842,8 |
|
Задолженность государства перед предприятиями железнодорожного транспорта, млрд. р. |
1125,3 |
|
Наличные деньги, млрд. р. |
66,9 |
|
Вклады до востребования и остатки средств на срочных счетах, млрд. р. |
145,8 |
В первую очередь необходимо рассчитать фактический объём денежной массы, обслуживающей сделки в экономике по формуле. Данный показатель будет использован для расчёта скорости обращения денежной единицы, а также для сравнения его с действительной потребностью в данных. Представив необходимые значения в формулу, получим:
О = ВВП/М2
где М2 - наличные деньги и объём средств на банковских счетах;
ВВП - стоимость произведённых в стране товаров и услуг за определённый период.
О = (1842,8+108,8) / (66,9 +145,8) = 1951,6/212,7, О = 9,18
Получается, в среднем 1 р. Обслуживает чуть более 9 сделок от реализации товаров в стране за рассматриваемый период.
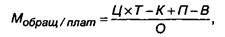
Рассчитаем теперь действительную потребность в деньгах на основе имеющихся данных, используя формулу:
Мобращ/плат = (Ц*Т-К+П-В) /О
где Мобращ/плат - количество денег, необходимое в качестве обращения платежа;
К - сумма цен товаров, проданных в кредит;
П - сумма платежей по долговым обязательствам срок погашения которых наступил;
В - сумма взаимопогашающихся расчётов;
О - Среднее число оборотов денег как средства обращения и платежа.
Мобращ/плат = ( (1842,8+108,8) - 774,0 + 359,2 - 422,3) / 9,18
Мобращ/плат =1114,5/9,18
Мобращ/плат =121,41
Таким образом, действительная потребность в деньгах не превышает фактический объём денежной массы: 121,41 млрд. р. и 212,7 млрд. р. Такая ситуация может привести к обесценению денег, то есть количества товаров, которое может быть приобретено на денежную единицу по сложившимся на рынке ценам. Темп обесценения денег отражает темп инфляции.
Анализируя пути развития форм стоимости и денежного обращения, К. Маркс открыл закон денежного обращения, устанавливающий взаимосвязь между массой обращающихся денег и факторами, влияющими на потребность в деньгах. Первоначальный вариант закона денежного обращения выявляет связь между количеством денег, необходимых для выполнения ими функции средства обращения и суммой цен реализуемых товаров с учётом скорости обращения денежной единицы:
где Мовращ - количество денег, необходимое в качестве средства обращения; Ц - уровень цен товаров и услуг Т - количество проданных на рынке товаров и услуг; О - скорость обращения денег.
Скорость обращения денег - среднее число оборотов денежной единицы за известный период. Одни и те же деньги могут в течение определённого периода постоянно переходить из рук в руки, обслуживая продажу товаров и оказание услуг.
Далее К. Маркс раскрывает содержание этого закона с учётом функции денег как средства платежа. В российской научной литературе отдельно выделяют функцию денег как средство платежа. Функцию средства платежа деньги выполняют во всех случаях, когда нет непосредственного обмена товаров на деньги. Соответственно, в функции средства платежа деньги используются при возникновении кредитных отношений, в случае авансовых платежей, а также при реализации товаров на условиях предоплаты. В этом случае формула (1) видоизменяется:
где Мобращ/плат - количество денег, необходимое в качестве средства обращения и платежа; С - сумма цен товаров, проданных в кредит; П - сумма платежей по долговым обязательствам срок погашения которых наступил; В - сумма взаимопогашающихся расчётов; О - среднее число оборотов денег как средства обращения и платежа.
Однако вышеизложенные рекомендации не позволяют определи действительную потребность в деньгах. Закон денежного обращения да лишь правильную оценку зависимости потребности оборота в деньгах, ь её недостаточно для конкретного расчёта такой потребности.
Таким образом, рассмотренные выше теории не могут быть использс ваны для конкретного определения (расчёта) необходимого количеств* денег в обращении, но могут быть полезны при определении факторов влияющих на денежное обращение, а также при осуществлении государственного регулирования денежного обращения.
