Сущность и цели денежно-кредитной политикиРефераты >> Банковское дело >> Сущность и цели денежно-кредитной политики
Причина таких сложностей заключается в том, что границы налично-денежного обращения и безналичного оборота "размыты": предприятия осуществляют расчёты наличными деньгами в сравнительно крупных размерах и предусмотреть их объём сложно; расширяются денежные обороты населения с помощью пластиковых карточек и предусмотреть объём оборотов, осуществляемых с помощью них вместо оборота наличными деньгами трудно. Кроме этого, представляется достаточно затруднительным определить скорость обращения денег - для этого обычно используются косвенные методы. В развитых странах исчисляются следующие показатели "О".
Показатель скорости обращения денег:
где М2 - наличные деньги и объем средств на банковских счетах; ВВП - стоимость произведённых в стране товаров и услуг за определённый период.
Показатель оборачиваемости денег в платёжном обороте:
Задача 3.
Торговая сделка, оформлена простым векселем сроком обращения 60 дней, который был учтён в банке. Определить доход и годовую доходность для продавца векселя и банка. Условия сделки представлены в табл.3
Исходные данные для расчёта
|
Показатель |
Значение |
|
Вексельная сумма, р. |
260000 |
|
Дата составления |
21.09.05 |
|
Дата учёта |
25.10.05 |
|
Процентная ставка, % |
9 |
|
Учётная ставка, % |
7 |
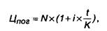
Так как вексель имеет вид ценной бумаги с объявленным процентным доходом, в первую очередь необходимо определить общую сумму обязательства, которая будет выплачена в момент погашения векселя по формуле:
где N - номинал векселя; t - срок займа; К - временная база (количество дней в году); i - процентная ставка.
Таким образом, общая сумма вексельного обязательства, рассчитанного по формуле, составит:
Цпог = 260000х (1 + 0,09*60/360) = 263899,99р.
Далее определяем цену, по которой вексель учитывается коммерческим банком:
где t - количество дней до даты погашения; d - учётная ставка.
В данной задаче с момента учёта векселя до даты его погашения 26 дней (при условии соблюдения следующего правила подобных финансовых операций: день учёта и день погашения считаются за 1 день). Соответственно:
Ц = 263899,99* (1-0,07*26/360) = 262565,83р.
Доход коммерческого банка:
263899,99 - 262565,83= 1334,16
Доходность этой операции за 26 дней определяется отношением дохода к затратам, понесённым для получения этого дохода:
R =1334,16/262565,83, R = 0,005 (0,5%).
Соответственно годовая доходность этой операции за 360 дней - 7,03% ( ( (0,005/26) *360) *100).
Доход продавца векселя (поставщика продукции): 262565,83 - 260000= 2565,83р.
Доходность операции за 34 дня:
R = 2565,83/260000 = 0,0099 (0,99%)
Годовая доходность 10,44%
Задача 4.
Сравнить проценты к уплате, связанные с использованием револьверного кредита и отдельного кредита (ролловера) получаемого на условиях простого процента на 1 месяц.
|
Показатель |
Значение |
|
Сумма кредита, р. |
116000 |
|
Ставка по кредиту,% |
22 |
|
Комиссионные,% |
6 |
|
Остаток на счёте, р. |
27556 |
|
день |
Приход |
Расход |
Остаток на счёте |
Размер кредита |
Проценты |
Комиссионные |
Остаток кредита |
|
1 |
13850 |
0 |
27556 |
0 |
0,00 |
2,95 |
116000,00 |
|
2 |
36860 |
98750 |
-34334 |
34334 |
20,98 |
2,08 |
81666,00 |
|
3 |
38232 |
48765 |
-44867 |
44867 |
27,42 |
1,81 |
71133,00 |
|
4 |
8548 |
39652 |
-75971 |
75971 |
46,43 |
1,02 |
40029,00 |
|
5 |
88960 |
56780 |
-43791 |
43791 |
26,76 |
1,84 |
72209,00 |
|
6 |
15810 |
38563 |
-66544 |
66544 |
40,67 |
1,26 |
49456,00 |
|
7 |
26660 |
45679 |
-85563 |
85563 |
52,29 |
0,77 |
30437,00 |
|
8 |
311854 |
285675 |
-59384 |
59384 |
36,29 |
1,44 |
56616,00 |
|
9 |
38888 |
10400 |
-30896 |
30896 |
18,88 |
2,16 |
85104,00 |
|
10 |
42680 |
87994 |
-76210 |
76210 |
46,57 |
1,01 |
39790,00 |
|
11 |
4962 |
12458 |
-83706 |
83706 |
51,15 |
0,82 |
32294,00 |
|
12 |
27570 |
25431 |
-81567 |
81567 |
49,85 |
0,88 |
34433,00 |
|
13 |
28471 |
16778 |
-69874 |
69874 |
42,70 |
1,17 |
46126,00 |
|
14 |
18970 |
14577 |
-65481 |
65481 |
40,02 |
1,28 |
50519,00 |
|
15 |
163958 |
114397 |
-15920 |
15920 |
9,73 |
2,54 |
100080,00 |
|
16 |
10220 |
27695 |
-33395 |
33395 |
20,41 |
2,10 |
82605,00 |
|
17 |
14836 |
15678 |
-34237 |
34237 |
20,92 |
2,08 |
81763,00 |
|
18 |
57113 |
87899 |
-65023 |
65023 |
39,74 |
1,30 |
50977,00 |
|
19 |
22428 |
37665 |
-80260 |
80260 |
49,05 |
0,91 |
35740,00 |
|
20 |
23050 |
19873 |
-77083 |
77083 |
47,11 |
0,99 |
38917,00 |
|
21 |
14000 |
32455 |
-95538 |
95538 |
58,38 |
0,52 |
20462,00 |
|
22 |
21752 |
14900 |
-88686 |
88686 |
54, 20 |
0,69 |
27314,00 |
|
23 |
166875 |
107953 |
-29764 |
29764 |
18, 19 |
2, 19 |
86236,00 |
|
24 |
52593 |
0 |
22829 |
0 |
0,00 |
2,95 |
116000,00 |
|
Итого процентов и комиссионных |
817,72 | ||||||
