Управление развитием персонала и оценка деятельности коммерческого банкаРефераты >> Банковское дело >> Управление развитием персонала и оценка деятельности коммерческого банка
Оценка эффективности применения инструментов надзора - на этом этапе специалистами Банка Англии готовится заключение о работе на всем протяжении «надзорного периода», о сдвигах, произошедших за это время в деятельности кредитного института. Фактически этот этап завершает один «надзорный период» и является стартом для нового.
Обобщение зарубежной практики построения рейтинговых систем оценки надежности коммерческих банков позволяет выявить следующие характерные черты:
• включение в число компонентов анализа и оценки: во-первых, банковских рисков, которым подвержена деятельность кредитных организаций; во-вторых, качество управления банковскими рисками (практика США и Англии);
• сочетание анализа и оценки текущего финансового состояния кредитной организации с прогнозом на будущее (практика США);
• сочетание оценки финансового состояния кредитной организации с анализом деятельности надзорных органов по отношению к проблемным банкам (практика Англии).
Задача
В портфеле имеется долгосрочная ссуда с основной суммой долга 100 млн. р. И фиксированной процентной ставкой 10%. Период уплаты процента – 1 раз в год. Срок ссуды – 3 года. На момент расчета рыночная стоимость, по данным последней переоценки составляет 120 млн. р., а новая рыночная ставка по долгосрочным ссудам – 11%. Какова будет чувствительность трехлетней ссуды, если ожидается изменение процентной ставки на 1%?
Решение
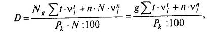
(1)
где D — продолжительность ссуды; Ng — размер кредита по кредитному договору; g — договорная процентная ставка; i — новая рыночная ставка по долгосрочным ссудам на момент расчета; t — срок очередного процентного платежа; vti — дисконтный множитель; Рк — рыночная (переоцененная) стоимость кредита; п — срок кредита.
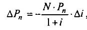
(2)
где — изменение рыночной стоимости ссуды, вызванное изменением процентной ставки, или чувствительностью; N— продолжительность ссуды; Рп — рыночная (переоцененная) стоимость кредита на момент расчета; — ожидаемое изменение процентной ставки; i- процентная ставка на момент расчета. (формула (2) показывает степень зависимости рыночной стоимости ссуды от изменений на денежном рынке, т.е. чувствительность инструмента. Последняя во многом зависит от срока, а также от современной стоимости действующей в данный момент процентной ставки.
Таблица 1. Расчет продолжительности долгосрочных ссуд
Рассчитаем чувствительность 3-летней ссуды при изменении процентной ставки на 1% :
При наличии 3-летней ссуды в портфеле банка номиналом 100 млн. руб. и фиксированной ставки 10%, где рыночная стоимость на момент расчета оценивается в 120 млн. руб. и рыночная ставка по долгосрочным ссудам – 11%, то при росте последней на 1% банк понесет убыток, равный 1.74 млн. руб.
Список использованных источников
1.Основы банковского дела: Учеб. Пособие / Б.М. Войтешенко, В.В. Козловский, Т.Д. Брежнева и др.: Под ред. Ю.М. Ясинского. – Мн., 1999 – 448 с.
2.Основы банковской деятельности/ Под ред. Тагирбекова К.Р. – М., 2003 – 285 с.
3.Управление деятельностью коммерческого банка / Под ред. О.И. Лаврушина. – М.: Юрист, 2002, - 688 с.
4.Одегов Ю.Г. Банковский менеджмент: управление персоналом: учеб. Пособие / Ю.Г. Одегов, Т.В. Никонова, Д.А. Бездеолв. – М.: Экзамен, 2004. – 448 с.
