История развития семейной структурыРефераты >> Статистика >> История развития семейной структуры
Построим несколько регрессионных зависимостей. Будем выявлять временные линейные тренды некоторых показателей.
Численность населения
Приведем массив данных
Построение регрессии
Для регрессии вида
найдем коэффициенты по формулам
Вычислим
Тогда
Откуда
Тогда линейная регрессия будет иметь вид
Смысл коэффициента beta заключается в том, что при изменении значения X на 1 единицу Y меняется на -24,9 единиц
Нарисуем точки и регрессию:
Подсчитаем оценку дисперсии ошибки, т.е.
Среднее X
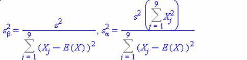
Найдем оценки дисперсий коэффициентов регрессии
по формулам
Получим
Эластичность
Подсчитаем функцию эластичности по формуле
В нашем случае
или
Значение эластичности в средней точке
Показывает, что при изменении X на 1% Y меняется на -0,07 процентов.
Изучение качества регрессии
Доверительные интервалы для оцененных параметров
уровень доверия
Количество степеней свободы 7
Критическое значение статистики Стьюдента ![]()
Доверительный интервал для beta
равен
Не можем на данном уровне значимости принять гипотезу beta=0 т.к. не попадает в доверительный интервал.
Доверительный интервал для alpha
равен
Мы не можем на данном уровне значимости принять гипотезу alpha=0 т.к. не попадает в доверительный интервал.
Критерий Фишера значимости всей регрессии
Коэффициент корреляции
где
показывает, что связь сильна и орицательна
Коэффициент детерминации
показывает, что регрессия объясняет 87,7%
процентов вариации признака.
Убедимся в значимости модели с помощью статистики Фишера
которая больше критического значения
