История развития семейной структурыРефераты >> Статистика >> История развития семейной структуры
Следовательно, регрессия значима
Проверим значимость коэффициента корреляции
Поэтому выборочный коэффициент корреляции значимо отличается от нуля.
Прогноз на 2007
Точечный прогноз для ![]()
Прогноз на 2008
Точечный прогноз для ![]()
Построенная регрессия обладает хорошими прогнозными свойствами. Согласно ей, убыль населения будет происходить и в дальнейшем.
Население в трудоспособном возрасте
Приведем массив данных
Построение регрессии
Для регрессии вида
найдем коэффициенты по формулам
Вычислим
Тогда
Откуда
Тогда линейная регрессия будет иметь вид
Смысл коэффициента beta заключается в том, что при изменении значения X на 1 единицу Y меняется на 0,66 единиц
Нарисуем точки и регрессию:
Подсчитаем оценку дисперсии ошибки, т.е.
Среднее X
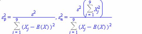
Найдем оценки дисперсий коэффициентов регрессии
по формулам
Получим
Эластичность
Подсчитаем функцию эластичности по формуле
В нашем случае
или
Значение эластичности в средней точке
Показывает, что при изменении X на 1% Y меняется на 0,058 процентов.
Изучение качества регрессии
Доверительные интервалы для оцененных параметров
уровень доверия
Количество степеней свободы 7
Критическое значение статистики Стьюдента ![]()
Доверительный интервал для beta
равен
Не можем на данном уровне значимости принять гипотезу beta=0 т.к. не попадает в доверительный интервал.
Доверительный интервал для alpha
равен
Мы не можем на данном уровне значимости принять гипотезу alpha=0 т.к. не попадает в доверительный интервал.
Критерий Фишера значимости всей регрессии
Коэффициент корреляции
где
