Гостиничный рынок Санкт-ПетербургаРефераты >> Статистика >> Гостиничный рынок Санкт-Петербурга
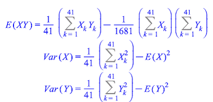
Тогда
Откуда
Тогда линейная регрессия будет иметь вид
Смысл коэффициента beta заключается в том, что при изменении значения X на 1 единицу Y меняется на 96,95 $
Нарисуем точки и регрессию:
Дисперсионный анализ
Среднее Y
Остаточная вариация (RSS)

Общая вариация (TSS)

Объясняемая вариация (ESS)

Правило сложения дисперсий выполняется
Подсчитаем оценку дисперсии ошибки, т.е.

![]()
Среднее X
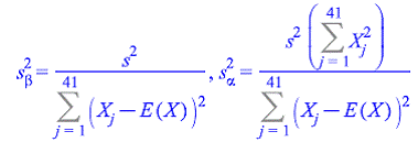
Найдем оценки дисперсий коэффициентов регрессии
по формулам
Получим
Эластичность
Подсчитаем функцию эластичности по формуле
В нашем случае
или
Значение эластичности в средней точке
Показывает, что при изменении X на 1% Y меняется на 2,19 %.
Изучение качества регрессии
Доверительные интервалы для оцененных параметров
уровень доверия
Количество степеней свободы 39
Критическое значение статистики Стьюдента ![]()
Доверительный интервал для beta
равен
Не можем на данном уровне значимости принять гипотезу beta=0 т.к. не попадает в доверительный интервал.
Доверительный интервал для alpha
равен
Мы не можем на данном уровне значимости принять гипотезу alpha=0 т.к. не попадает в доверительный интервал.
Критерий Фишера значимости всей регрессии
Коэффициент корреляции
где
показывает, что связь средней силы
Коэффициент детерминации
![]()
показывает, что регрессия объясняет 61,66
процентов вариации признака.
Убедимся в значимости модели с помощью статистики Фишера

которая больше критического значения
![]()
![]()
