Нормы и интерпретация результатов тестаРефераты >> Психология >> Нормы и интерпретация результатов теста
Подсчитаем сумму рангов по каждой школе.
åR = 258 + 284,5 + 156,5 + 121 = 820.
Проверочная формула: åR = N/2(N+1) = 820, где N — общее число элементов, включающее все выборки. В этом примере оно равно 40.
|
Школа I åR = 258 |
Школа II åR = 284,5 |
Школа III åR = 156,5 |
Школа IV åR = 121 | |
|
Шк. I åR = 258 |
26,5 |
101,5 |
137 | |
|
Шк. II åR = 284,5 |
26,5 |
156,5 |
163,5 | |
|
Шк. III åR = 156,5 |
101,5 |
156,5 |
35,5 | |
|
Шк. IV åR = 121 |
137 |
163,5 |
35,5 |
Далее суммы рангов по выборкам размещаются в матрице.
На пересечении строк и столбцов указываются разности, показывающие, насколько отличается сумма рангов каждой выборки от других выборок.
По таблице значимости устанавливается, что при n = 10 (учитывается объем отдельной выборки) и при четырех условиях достигают уровня значимости 0,95 — величина 134 и более, а уровня значимости 0,99 — величина 163 и более. Следовательно, существенное статистически значимое различие имеется между 1-й и 4-й выборками и между 2-й и 4-й выборками; в последнем случае на уровне значимости 0,99.
Корреляции. В примере, рассмотренном выше (С. 260), сравнивались два ряда чисел, представляющие два ряда показателей одной и той же выборки; по смыслу задачи нужно было установить, существенная ли разница между этими рядами. Это были ряды, взятые из ситуации «до» и «после». Есть, однако, и многочисленные ситуации, когда исследователь заинтересован не в том, чтобы найти степень существенности разницы между вариационными рядами, а в том, чтобы найти, насколько тесно эти ряды связаны между собой, какова направленность этой связи. Так, группе школьников были предложены два теста, задания которых были построены на материале школьных дисциплин гуманитарного цикла — литературы и истории. Но в первом тесте для выполнения заданий требовалась актуализация умственного действия аналогии, а во втором — умственного действия классификации. Данные тестирования представлены в двух числовых рядах. Исследователю нужно ответить на вопрос, насколько тесно связаны эти два ряда. При строгой постановке эксперимента это исследование должно было пролить свет на то, какую роль играют умственные действия, указанные выше, на усвоение знаний в гуманитарном цикле.
Пример. Исследовалась выборка из 15 школьников. Для вычисления коэффициента корреляции, отражающего тесноту связи между двумя рядами, используются как параметрические, так и непараметрические методы.
До перехода к расчетам полезно рассмотреть любые коррелируемые ряды в их размещении в корреляционной решетке. По оси абсцисс размещаются показатели одного, а по оси ординат — другого ряда.
Теснота связи между рядами благодаря этой решетке становится легко обозримой. На рис. 3 схематически изображены различные виды соотношения коррелируемых рядов. Как видно, схемы отражают всего пять различных соотношений.
|
|
|
|
|
Рис. 3
На схемах можно усмотреть как тесноту связи, так и ее направленность. Схема 3 демонстрирует полное отсутствие связи между рядами; на схеме 5 показана нелинейная связь между рядами, та ее форма, которая показана на этой схеме лишь одна из возможных.
Коэффициент корреляции принимает значение от -1 (схема 4) до +1 (схема 1). В этих пределах возможны все числовые значения коэффициента корреляции. Если никакой связи между рядами не существует, то коэффициент равен 0 (схема 3). В подавляющем большинстве случаев коэффициент составляет величину, не достигающую 1. При положительной корреляции при увеличении числовых значений одного ряда соответственно увеличиваются числовые значения другого ряда. При отрицательной корреляции увеличению числовых значений одного ряда соответствует уменьшение числовых значений другого ряда.
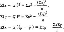
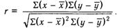
Если исследователь убежден в том, что оба коррелируемых ряда можно рассматривать как ряды параметрические, то для вычисления коэффициента корреляции применяется параметрический метод по формуле Пирсона:
Существует много различных видов этой формулы, представляющих собой ее преобразования. Исследователь сам выбирает удобную для себя формулу. Об уровне значимости коэффициента корреляции судят по табл. 5, причем для г число степеней свободы fd = п - 2, где п — объем выборки.
Вычисление коэффициента корреляции по Пирсону. Коэффициент показывает тесноту связи между выполнением задач в тестах «Аналогии» и «Классификации». Данные по тесту «Аналогии» обозначены х, а по тесту «Классификации» — у.
Для упрощения расчетов введены некоторые тождества.
|
Испытуемые |
х |
y |
х2 |
y2 |
ху |
|
А |
1 |
3 |
1 |
9 |
3 |
|
Б |
2 |
4 |
4 |
16 |
8 |
|
В |
3 |
5 |
9 |
25 |
15 |
|
Г |
3 |
6 |
9 |
36 |
18 |
|
Д |
4 |
6 |
16 |
36 |
24 |
|
Е |
4 |
7 |
16 |
49 |
28 |
|
Ж |
4 |
7 |
16 |
49 |
28 |
|
3 |
5 |
8 |
25 |
64 |
40 |
|
И |
5 |
8 |
25 |
64 |
40 |
|
К |
6 |
8 |
36 |
64 |
48 |
|
Л |
6 |
8 |
36 |
64 |
48 |
|
М |
7 |
9 |
49 |
81 |
63 |
|
Н |
8 |
9 |
64 |
81 |
72 |
|
О |
9 |
10 |
81 |
100 |
90 |
|
П |
10 |
11 |
100 |
121 |
110 |
|
n = 15 |
77 |
109 |
487 |
859 |
635 |
