Нормы и интерпретация результатов тестаРефераты >> Психология >> Нормы и интерпретация результатов теста
Число степеней свободы fd = п - 2 = 15 - 2 = 13. По таблице уровней значимости находим, что при 13 степенях свободы r0,999 = = 0,760. Сравниваем это значение с полученным коэффициентом:
0,76 < 0,96.
Полученный коэффициент корреляции показывает, что между результатами в тестах «Аналогии» и «Классификации» имеется связь. Высокий уровень значимости свидетельствует о том, что эта связь с высокой вероятностью будет воспроизводиться в таких же экспериментах.
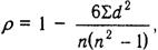
Вычисление коэффициента корреляции по Спирмену (коэффициент ранговой корреляции).
Исследовательское задание указано на с. 266. Формула ранговой корреляции такова:
где d — разность рангов ряда х и ряда у т.е. (Rx- Ry).
Таблица 6
|
Испытуемые |
х |
Rx |
y |
Ry |
dRxRy |
R2 dRxR y |
|
А |
1 |
1 |
3 |
1 |
0 |
0 |
|
Б |
2 |
2 |
4 |
2 |
0 |
0 |
|
В |
3 |
3,5 |
5 |
3 |
0,5 |
0,25 |
|
Г |
3 |
3,5 |
6 |
4,5 |
1 |
1 |
|
Д |
4 |
6 |
6 |
4,5 |
1,5 |
2,25 |
|
Е |
4 |
6 |
7 |
6,5 |
0,5 |
0,25 |
|
Ж |
4 |
6 |
7 |
6,5 |
0,5 |
0,25 |
|
3 |
5 |
8,5 |
8 |
9,5 |
1 |
1 |
|
И |
5 |
8,5 |
8 |
9,5 |
1 |
1 |
|
К |
6 |
10,5 |
8 |
9,5 |
1 |
1 |
|
Л |
6 |
10,5 |
8 |
9,5 |
1 |
1 |
|
М |
7 |
12 |
9 |
12,5 |
0,5 |
0,25 |
|
Н |
8 |
13 |
9 |
12,5 |
0,5 |
0,25 |
|
О |
9 |
14 |
10 |
14 |
0 |
0 |
|
П |
10 |
15 |
11 |
15 |
0 |
0 |
|
n = 15 n2 = 225 |
Σd2RxRy = 8,5 | |||||
fd = п - 2 = 15 - 2 = 13.
Производится раздельное ранжирование ряда х и ряда у. Вычисляется разность рангов d попарно. Знак разности не существенен, так как по формуле нужно возвести d в квадрат. Далее действия определяются формулой:
По таблице уровней значимости r > r0,99 (0,98 > 0,70).
Коэффициенты, вычисленные двумя разными способами, как и нужно было ожидать, чрезвычайно близки друг к другу; отличаются они на 0,02, что никакого значения практически не имеет.
Нельзя трактовать коэффициент корреляции как величину, означающую процент взаимозависимых связей вариант двух коррелируемых рядов, т.е. например, коэффициент 0,50 трактовать как 50% таких связей этих рядов. Это далеко не так. Об этом проценте вообще по коэффициенту корреляции судить нельзя. Возведенный в квадрат коэффициент корреляции называется коэффициентом детерминации (r2 или r2). Он показывает, сколько процентов вариант обоих рядов оказались взаимозависимыми. При коэффициенте 0,50 процент таких взаимозависимых вариант составит 0,502, т.е. 0,25 (Heinz A., Ebner С. Grundlagen der Statistik fiir Psychologen, Padagogen und Soziologen. Berlin, 1967. S. 112). Для коэффициента 0,98 коэффициент детерминации составит 0,982 = 0,9604. Следовательно, взаимозависимы примерно 96% вариант обоих рядов.
Корреляция как метод статистического анализа в психологических исследованиях применяется очень часто. Всем, кто работает с применением корреляционного анализа, т.е. выясняет посредством этого метода тесноту связи двух рядов, следует напомнить, что коэффициент, как бы высок он ни был, нельзя интерпретировать как показатель наличия причинной связи между коррелируемыми рядами. Если коэффициент и может быть как-то использован в обсуждении вопроса о возможных причинных связях, то только в том случае, когда содержательная логика исследования и выдвигаемые при этом теоретические соображения позволяют опереться как на один из аргументов и на значение коэффициента корреляции.
В изложении метода корреляции речь шла исключительно о линейных корреляциях, которые изображены на схемах №1,2, 4. Но там же приведена схема криволинейной корреляции (№ 5). Вообще говоря, вероятно, и в психике человека протекают процессы, взаимосвязь которых не имеет линейного вида. Вычисление нелинейных корреляций и, главное их истолкование не относятся к простейшим статистическим методам, о которых говорится в этой главе. Но об их существовании следует знать.
Наконец, полезно напомнить, что корреляции по Пирсону (с определенными ограничениями и в определенных сочетаниях) создают ту базу, на которой открываются возможности перехода к так называемому факторному анализу. (Наиболее ясное изложение сути факторного анализа см.: Теплов Б.М. Типологические особенности в н.д. человека. М., 1967. Т. 5. С. 239).
