Нормы и интерпретация результатов тестаРефераты >> Психология >> Нормы и интерпретация результатов теста
А если не получен уровень значимости 0,95? Тогда нужно признать, что нуль-гипотезу не следует отвергать. Впрочем, иногда, по задачам исследования признается достаточным и более низкий уровень. В некоторых исследованиях цель состоит в том, чтобы прийти к утверждению нуль-гипотезы.
Обращаясь к таблицам уровней значимости, исследователь обнаруживает во многих из них специальный столбец с указанием степеней свободы, относящихся к полученному параметру или коэффициенту. Уровень значимости прямо зависит от того, каким числом степеней свободы обладает данный коэффициент или параметр. Число независимых величин, участвующих в образовании того или другого параметра, называется числом степеней свободы этого параметра. Оно равно общему числу величин, по которым вычисляется параметр, минус число условий, связывающих эти величины (Урбах В.Ю. Указ. соч. С. 161). Число степеней свободы и способы его определения всегда даются в окончательных формулах, которыми пользуется исследователь при статистической обработке своих материалов.
Рассмотрим пример с двумя выборками, которые, по мнению исследователя, можно рассматривать как подлежащие обработке параметрическим методом.
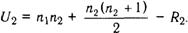
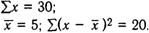
Двум группам шестиклассников по 6 человек было дано задание бросать мяч в корзину. Группы обучались по разным программам. Можно ли считать, что разница в программах сказалась на конечной результативности школьников? Для сравнения было взято число попаданий в корзину. Всего было дано по 10 проб.
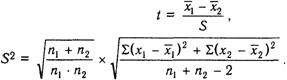
Формула вычисления t:
где
Материал, подлежащий обработке:
первая выборка, п = 6
|
Исп. |
х |
|
|
|
А |
2 |
-1 |
1 |
|
Б |
4 |
1 |
1 |
|
В |
6 |
3 |
9 |
|
Г |
4 |
1 |
1 |
|
Д |
1 |
-2 |
4 |
|
Е |
1 |
-2 |
4 |
вторая выборка, п = 6
|
Исп. |
х |
|
|
|
Ж |
5 |
— |
— |
|
3 |
4 |
-1 |
1 |
|
И |
2 |
-3 |
9 |
|
К |
8 |
3 |
9 |
|
Л |
6 |
1 |
1 |
|
М |
5 |
— |
— |
Ход вычислений показывает:
fd (число степеней свободы) =n1-n2 -2=6+6-2= 10. По таблице уровней значимости t Стьюдента находим t0,95 = 2,223. Существенность различия не доказана, хотя полученное значение t = 1,9 очень близко к требуемому уровню. Принимается Но. Нельзя утверждать, что выборки существенно различаются.
Для вычисления t существует несколько формул, различающихся только техникой расчетов.
Сравниваемые выборки могут быть неодинаковыми по объему. Применять параметрические методы можно лишь к материалу, обладающему определенными свойствами, о которых говорилось ранее. В других случаях следует обращаться к непараметрическим методам.
Ниже будет рассмотрена техника применения критерия Манна— Уитни, непараметрического метода, часто используемого в психологических исследованиях.
Предположим, что психологу нужно решить такую задачу. Есть ли различия между выборками школьников одного и того же класса, если одна выборка включает школьников, которые после контрольной работы проходили дополнительное обучение по коррекционным программам, другая — школьников, такого обучения не проходивших? Обе выборки малы, поэтому для проверки гипотез о существовании различий между выборками следует взять мощный критерий. Мощность критерия — это вероятность принятия при его применении правильного решения для отклонения ho; чем выше эта вероятность, тем больше мощность критерия. Мощность любого критерия увеличивается вместе с увеличением объема сравниваемых выборок, а также со снижением того уровня значимости, на который ориентируется исследователь. Другими словами, если выборки велики, то принятие правильного решения относительно ho увеличивается. Ориентация на высокий уровень значимости, например 0,990 или 0,999, предполагает применение достаточно мощного критерия. В рассматриваемом примере выборки малы, а при установлении существенной разницы между ними, т.е. при отказе от ho желательно, чтобы уровень значимости был как можно выше, но не ниже 0,95.
Формула вычисления критерия Манна—Уитни такова:
или:
В примере сравнению подлежат результаты контрольной работы выборки A из 4 школьников, проходивших обучение по коррекционным программам, и выборки Б, состоящей из 7 школьников, никакого коррекционного обучения не проходивших. Последовательность действий, предусматриваемых вычислением всех нужных для решения задачи величин, такова.
1. Выписать в любом порядке число успешно решенных заданий школьниками сначала выборки А, затем выборки Б.
2. Проранжировать число успешно решенных заданий, объединив обе выборки.
3. Найти сумму рангов выборок А и Б раздельно.
Эти три действия дадут все необходимые для вычисления критерия данные.
