Нормы и интерпретация результатов тестаРефераты >> Психология >> Нормы и интерпретация результатов теста
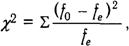
Приводим технику вычисления (табл. 9).
Таблица 9
|
Психологическая оценка |
Оценка профессиональных достижений |
Всего | ||
|
Ниже среднего |
Средняя |
Выше среднего | ||
|
Ниже среднего |
А 20 (10) |
В 5 (13,3) |
С 5 (6,7) |
30 |
|
Средняя |
D 5 (10) |
Е 15 (13,3) |
F 10 (6,7) |
30 |
|
Выше среднего |
G 5 (10) |
Н 20 (13,3) |
J 5 (6,7) |
30 |
|
Итого: |
30 |
40 |
20 |
90 |
Эксперимент, данные которого представлены в табл. 8, предпринимался, чтобы установить валидность психологической оценки. Нуль-гипотеза формулируется так: психологическая оценка не имеет никакого значения для профессиональных достижений; поэтому она никак не скажется на распределении численностей в таблице-графике «хи-квадрат»;
Принятие нуль-гипотезы может произойти в том случае, если в каждой из групп по профессиональной успешности испытуемые будут распределены независимо от их психологической оценки. Тогда испытуемые, получившие психологическую оценку «ниже среднего», распределятся по всем трем группам в тех же процентных отношениях, в каких они распределились и по профессиональным достижениям. Напомним эти отношения: 33,3 — 44,4 — 22,2. Психологическую оценку «ниже среднего» получили всего 30 испытуемых. 33,3% этого числа (10 человек) должны были бы попасть в группу с профессиональными достижениями ниже среднего уровня, с достижениями среднего уровня — 44,4% (в среднем 13,3), с достижениями выше среднего уровня — 22,2% (6,7).
Те же рассуждения повторяются и относительно испытуемых, имеющих психологические оценки «среднюю» и «выше среднего». Однако наблюдается иное распределение. Возникает вопрос: можно ли, учитывая фактическое распределение, отвергнуть нуль-гипотезу и признать, что психологическая оценка влияет на профессиональные достижения? Это раскроет методика «хи-квадрат».
В клетках таблицы представлены как фактически наблюдаемые численности, так и предполагаемые согласно нуль-гипотезе; они заключены в скобки.
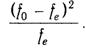
Как известно, формула хи-квадрат такова:
где f0 — фактически наблюденные численности, fe — предполагаемые численности.
Для получения значения хи-квадрат нужно суммировать по клеткам:
Клетки
x2 = 10 + 5,2 + 0,4 + 2,5 + 0,2 + 1,6 + 2,5 + 3,7 + 0,4 = 26,5, fd — число степеней свободы.
В этом примереc = (к - 1)(с - 1) = (3 - 1)(3 - 1) = 4.
x20,99 при 4 степенях свободы равно 11,34.
Сравнивая полученную в эксперименте величину x2 с величиной x20,99, указанной в таблице значимостей, можно заключить: полученная в эксперименте величина (x2 = 26,5) свидетельствует о валидности примененной психологической методики.
Величина хи-квадрат с указанием ее значимости служит в подобных случаях показателем или коэффициентом валидности. Этот же метод применяется, если оценка дается не по трем ступеням, как в рассмотренном примере, а по пяти (значительно ниже средней, ниже средней, средняя, выше средней, значительно выше средней и т.д.). Техника вычислений при такой дифференциации оценок аналогична показанной выше.
Были изложены четыре типа задач и показаны статистические методы, применяемые для каждого типа. В современной диагностике применяются не только перечисленные в этой главе статистические методы, но и многие другие. Однако можно полагать, что, ограничив свою цель изложением простейших статистических методов, нет необходимости обращаться к сложным и сложнейшим. Читатели, заинтересовавшиеся проблемами статистических методов в диагностике, могут обратиться к другим пособиям и источникам.
Элементы планирования в психологических исследованиях. Нельзя начинать исследование, не уяснив его цель. Это аксиома. Однако наблюдения показывают, что не все ее принимают. Нередко можно обнаружить смешение двух категорий целей: цель исследования и цель исследователя. Но полное доминирование цели исследователя и безразличное отношение к цели исследования не должны иметь места. Планирование должно исходить из цели исследования.
Есть два главных источника, стимулирующих возникновение исследований: либо они отвечают на запросы, выдвигаемые практикой, которую обслуживает данная наука, либо они возникают из нужд самой науки и имеют целью совершенствовать познание тех сфер жизни, которым посвящена данная наука. Стоит отметить, что детальное планирование необходимо и в том, и в другом случае. Мнение, будто практические исследования могут проводиться без заранее продуманного плана, безусловно, ошибочно; только правильно спланированное исследование может в своих выводах дать ответ на те вопросы, ради решения которых оно и задумывалось.
Различают планирование исследований, не нуждающихся в эксперименте, и исследований, включающих эксперимент как необходимую часть. Что касается первых, то их планы в принципе не отличаются от планов исследований в других науках. В вводной части (она будет примерно такой же и в экспериментальных исследованиях) очерчивается место данного исследования в потоке современной науки, кратко реферируются работы, затрагивающие ту же проблематику, указываются источники и формулируется замысел исследования и его цель. Далее планируется само исследование. Все без исключения исследования вообще могут рассматриваться как система доказательств, обосновывающих выводы, в которых содержится и цель, поставленная автором.
Этот план не должен рассматриваться как обязательный. Особенности работы могут заставить автора в той или иной степени отойти от него, дополнить его или сократить. В исследованиях, включающих эксперимент, во вводной части должно быть показано, зачем оказался нужным эксперимент и каковы принципы его построения.
Планирование эксперимента в психологическом исследовании предполагает предварительное обсуждение следующих пяти пунктов.
А. Каков планируемый объект эксперимента, другими словами, какова та выборка испытуемых, которых намерен привлечь автор? В зависимости от того, каких испытуемых возьмет автор, ему придется обдумать и следующий пункт.
