Формирование системы управления рынком бытовых услуг на муниципальном уровне
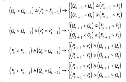
Аналогичные рассуждения проводятся и случае, когда сделки предлагает потребитель, а производитель выступает в качестве стороны, ответно предлагающей свой вариант значения для одного из двух параметров состояния (P,Q) этом случае потребителю известна его кривая спроса D, и в процессе итерационного уточнения и взаимодействия с производителем "нащупывает" кривую предложения S, определенные точки на этой кривой. Логика итерационных уточнений может быть формализована на основе простого правила: если имеет место сделка в момент t, характеризуемая состоянием (Pt, Qt), то для последующих сделок в момент (t+1)
(2)
Смысл этих условий состоит в том, что относительно совершенной сделки увеличение объема сопряжено с уменьшением цены, а увеличение цены – с уменьшением объема при последующей сделке (закон спроса и предложения). Левые части условий выражают изменения объемов (цен) при фиксированных ценах (объемах). Каждая совершенная сделка является своего рода микроравновесием, точкой совпадения интересов покупателя (потребителя) и продавца (производителя) в реальный момент времени. На рис. 4 показаны две возможные кривые D1 и D2, отражающие две различные группы потребителей (с различной платежеспособностью) и одна кривая предложения S, соответствующая общему производителю или одной группе производителей. На рис. 5 показан случай двух кривых D1, D2 и двух кривых S1, S2 , которые моделируют взаимодействия по парных отношений между различными группами потребителей и производителей:
точка А является равновесной для D1 и S1;
точка B – для кривых D2 и S1;
![]() |
точка D – для кривых D1 и S2.
Рис.5. Пилообразная траектория частичных равновесий (неравновесных сделок) между отдельными группами потребителей и производителей
Общие кривые спроса и предложения оказываются менее крутыми (см. рис.5) и соответствуют границам максимального предложения для отдельных производителей (точка E для S1) и минимального спроса для отдельных потребителей ( точка F для D1 ).
Анализ рис.5 важен с точки зрения теории неравновесных сделок, допускающей сделки внутри квазитреугольника, соответствующего излишку потребителей и производителей. Например, траектория изменения состояния вдоль кривой ABE производителя с кривой S1 будет соответствовать трем различным видам сделок: точка A- производитель имеет дело лишь с потребителем с кривой D1; точка B - производитель переадресовал свое производство на потребителя с кривой D2; точка E - производитель уже ориентирует свое производство на две группы потребителей – с кривыми D1 и D2 , т.е. на общего, в данном случае, потребителя, имеющегося на рынке.
Движение по кривой ECK отражает три точки частичного равновесия: при переходе из E к C производитель S1 и потребитель D1 уходят с рынка, оставшийся производитель S2 более рентабельный, чем S1 , взаимодействует с потребителем D2 , более платежеспособным, чем D1 . Дальнейший переход от C к K соответствует вступлению в рынок опять производителя S1 при сохранении прежнего потребителя. Переход от K к L соответствует возвращению на рынок второго, менее платежеспособного, потребителя D1 , сопровождаемое захватом излишка потребителей со стороны производителей (точка М) и т.д.
Различные траектории сделок, неравновесных с точки зрения общего равновесия, могут соответствовать равновесным состояниям между отдельными группами производителей и потребителей. При этом общие кривые спроса и предложения (пунктир на рис.5) допускают существование пилообразных кривых, например ECKLMO, отражающие реальные процессы неравновесных сделок. Движение вдоль пилообразных кривых соответствует уходу отдельных групп потребителей и производителей и появлению их снова вплоть до достижения полного равновесия (точка О). Состояния дисбаланса будут при этом отражать неэффективность рынка и потери излишков для потребителей или производителей. Динамика взаимодействия различных отдельных групп потребителей и производителей на данном рынке, следовательно, будет характеризоваться пилообразными кривыми достижения равновесия или выхода из него.
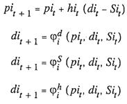
На рынке всегда присутствует неопределенность, недостаток информации (для некоторых сторон рыночных отношений), которая играет роль условия, обеспечивающего смысл функции и целесообразности предпринимательства, идущего на риск и получающего за это соответствующую прибыль. Неопределенность (неопределенный риск) может устраняться с помощью последовательных приближений, по мере уточнения кривых спроса и предложения, перевода неопределенного риска в определенный. Такая ситуация может моделироваться с помощью концепции динамического уточнения информации в процессе заключения неравновесных сделок. Общий вид модели уточняемого равновесия:
![]() |
(3)
где pit – цена i-й услуги в текущий момент t , dit – соответствующий спрос, а Sit - соответствующее предложение ; hit – положительный коэффициент регулирования скорости изменения цен во времени.
Изменение функции hit моделирует способность и скорость принятия решений в той или иной области деятельности. Если значение hit постоянно , hit= hi0 , то при достаточно больших значениях hi0 имеет место эффект переоценки информации об избыточности спроса: последующие приращения цен могут привести к дисбаланса из-за слишком резких и больших скачков – значение цен после итерации переводит систему в состояние с изменением знака дисбаланса на противоположный и с большей абсолютной величиной дисбаланса ("перелет" в процедуре формирования равновесной цены, усиливающиеся биения). При достаточно малых значениях hi0 имеет место эффект недооценки информации, слабого реагирования, который однако гарантирует постепенное приближение к состоянию равновесия (стратегия медленного и осторожного нащупывания равновесной цены малыми шажками).
В реальных ситуациях может иметь место и первый и второй случай. Но возможен и случай "золотой середины", когда параметр hi изменяется со временем, получая корректировки по мере уточнения информации, т.е. путем оптимального выбора величин hit .
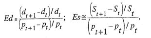
Функцииφid, φiS, φihприобретают более конкретный вид в зависимости от дополнительных условий и модификации модели применительно к частным задачам. В частности, общий спрос dit+1 может определяться конечным спросом Cit и матрицей мультипликатора B=(I-A)-1 , используемой в моделях межотраслевого баланса:
dit+1=Σbij ·Cit (4)
Если использовать выражения для эластичностей
![]() |



