Формирование системы управления рынком бытовых услуг на муниципальном уровне
(5)
которые являются дискретным аналогом степенных функций:
Dt = A·ptEd; St = B ·ptES , (6)
система уравнений (3) приобретает вид:
![]() |
(7)
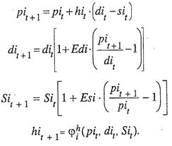
Обычно полагают параметр hit постоянной величиной, однако при достаточно больших его значениях может возникнуть колебательный режим или расходящийся пилообразный процесс с ростом итераций. Условие неподвижной точки, точки равновесия для системы (7) дает выражение для оптимального значения hit* в каждый момент:
![]() |
(8)
В таком случае, условие сходимости итераций имеет вид:
hi £ 2hi(t)*; h £ 2h(t)* , где (9)
h=(h1, h2,…, hn )T ; h(t)* = (h1*(t) , h2*(t) ,…, hn*(t) )T .
Для описания состояния рынка сферы сервиса и, в частности, бытовых услуг, в краткосрочный период может быть применена модель с использованием постоянных коэффициентов эластичности Edi, Esi для различных i- х видов услуг. Анализ статистических данных по различным отраслям показывает, что эластичности спроса и предложения по цене можно считать постоянными в пределах 1-2 лет. Поэтому система уточняемого равновесия, рассмотренная выше (7), с учетом информационного содержания параметра hi , имеет ряд существенных преимуществ при использования ее для краткосрочного моделировании экономических процессов в области сферы сервиса и, в частности, бытовых услуг:
1) система итерационных зависимостей вида (7) позволяет производить компьютерное моделирование экономических процессов для различных видов бытовых услуг, рассматривая каждый вид услуг независимо или вводя связи между ними, как в уравнении межотраслевого баланса. При этом многие параметры системы, такие как hi, Edi, Esi, а также различные начальные условия могут варьироваться в зависимости от целей исследования и постановки задачи;
2) модель (7) позволяет графически исследовать динамику изменений переменных во времени, в зависимости от сочетания параметров {hi, Edi, Esi, i=1,…,n}, выявлять нежелательные колебательные режимы и режимы возрастающего дисбаланса спроса и предложения.
Следует отметить, что рассмотренная имитационная модель, при всех ее достоинствах, имеет значительный резерв для развития применительно к специфике сферы бытовых услуг. В частности, в ней учтен только один конъюнктурообразующий фактор – цена, что справедливо при рассмотрении купли-продажи товаров, но недостаточно для рынка услуг.
Предлагается модификация данной модели, подразделяющая потребителей на несколько доходных групп, а производителей на группы по качеству обслуживания. Выделение таких групп может осуществляться в зависимости от ассортимента, сроков и качества выполнения заказов, использования различных современных форм обслуживания и оценке территориального размещения производителей. В конечном счете, качество обслуживания приводит к изменению цены и ориентации на определенную доходную группу потребителей. Количество выделяемых групп не должно быть большим, так как это сразу существенно усложняет модель и требует существенного увеличения объема исходной информации.
Тем не менее, описанная выше имитационная модель позволяет строить гибкий прогноз. В частности, могут быть спрогнозированы последствия вхождения в рынок или ухода с рынка новых производителей (предприятий бытовых услуг). В качестве исходных величин для проведения расчетов должны быть определены текущие значения цены pit , спроса dit , предложения Sit и коэффициенты эластичности спроса Edi и предложения Esi по цене.
Кроме того, в качестве параметра в модельные уравнения входит величина hi , определяющая сходимость итерационного процесса. Ограничение (9) на величину hi определяет сходимость итерационного процесса. На содержательном уровне экономических понятий параметр h в процедурах уточнения равновесия выражает рациональность и свободу для производителя услуг, реагирующего на запросы потребителя, т.е. способность производителя быть адекватным рациональному поведению потребителя на рынке. Изменение величины h показывает, насколько производитель "отстает" по цене и соответствующему предложению от реальной ситуации на рынке. В третьей главе описывается адаптивная методика построения мониторинга для определения и контроля изменения необходимых данных, используемых в предложенных моделях.
Глава 3. РАЗРАБОТКА МЕТОДИКИ ОРГАНИЗАЦИИ
МОНИТОРИНГА РЫНКА (на примере муниципального округа №51 Санкт-Петербурга).
3.1. Задачи изучения рынка бытовых услуг в муниципальном округе и формирование программы исследования
Федеральным законом от 28 августа 1995 года “Об общих принципах организации местного самоуправления в Российской Федерации” комплексное социально-экономическое развитие территории отнесено к вопросам местного значения.
Под комплексным социально-экономическим развитием муниципального образования понимается управляемый процесс изменений в различных сферах жизни муниципального образования, направленный на достижение определенного уровня развития социальной и экономической сфер на территории муниципального образования с наибольшим уровнем удовлетворения потребностей населения. Органы местного самоуправления должны определять собственную стратегию развития, разрабатывать и реализовывать собственные проекты и планы развития.
Главная цель, которую преследуют муниципальные органы в работе по социально-экономическому развитию территории - это улучшение качества жизни населения. Как уже говорилось, вопросы состояния и изменения рынка бытовых услуг представляют значительный интерес как с точки зрения развития предприятий бытовых услуг, так и с точки зрения изучения качества жизни населения муниципальных образований.
Изучение рынка бытовых услуг целесообразно проводить путем оценки его конъюнктуры. Основными задачами по изучению конъюнктуры рынка в муниципальном округе являются следующие задачи:
1. оценка территориальной структуры предприятий сферы бытового обслуживания;
2. выявление объема и структуры спроса;
3. оценка качества предоставляемых услуг;
4. анализ неудовлетворенного спроса населения на бытовые услуги;
5. анализ возможного увеличения объема спроса на услуги при изменении факторов, влияющих на его формирование;
6. прогнозирование спроса на услуги и формирование рекомендаций по развитию рынка бытовых услуг.
В период с июня по декабрь 1999 года по заданию муниципалитета студентами Государственного Института Сервиса и Экономики под руководством автора было проведено исследование, посвященное проблемам бытового обслуживания населения в муниципальном округе N51 города Санкт-Петербурга. Цель исследования заключалась в оценке рынка бытовых услуг в данном округе и выявлении основных видов услуг, по которым спрос наиболее неудовлетворен.


