Формирование системы управления рынком бытовых услуг на муниципальном уровне
Расчет социального эффекта при вложении инвестиций в развитие предприятий бытового обслуживания населения осуществляется по формуле1
ЧДД = Эсоц = ΣЭt at = Σ ( Э1t + Э2 t + Э3 t + Э4 t + Э5 t) at, где (19)
Эt - социальный эффект от реализации проекта на t-ом шаге;
Э1t - коммерческий эффект от реализации проекта на t-ом шаге;
Э2t - стоимостная оценка увеличения свободного времени населения за счет выполнения службой быта домашних дел (выполнение новой услуги).
Э3t - стоимостная оценка увеличения свободного времени населения за счет расширения прогрессивных форм обслуживания .
Э4t - стоимостная оценка увеличения денежных средств населения при ремонте бытовой техники или личных вещей.
Э5t - стоимостная оценка увеличения свободного времени населения за счет повышения качества бытовых услуг.
Стоимостная оценка увеличения свободного времени населения за счет выполнения службой быта домашних дел (выполнение новой услуги) рассчитывается по формуле:
Э2t =ΣΔHj Fэф k эфj q домj d ч, где (20)
n - число отраслевых групп; j = 1, n
ΔHj - увеличение численности рабочих в j -ой отраслевой группе;
Fэф - эффективный фонд времени одного рабочего;
k эфj - коэффициент эффективности, отражающий соотношение производительности труда на предприятии бытового обслуживания j-ой отраслевой группы по отношению к производительности труда в домашних условиях;
q домj - удельный вес услуг в j-ой отраслевой группе, заменяющих работу в домашних условиях;
d ч - стоимостная оценка 1 часа свободного времени клиента .
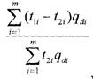
k эфj =
,где (21)
m - число работ, выполняемых в j-ой отраслевой группе; j= 1, m
t1i - трудоемкость выполнения i-ой работы в домашних условиях;
t2i - трудоемкость выполнения i-ой работы в условиях предприятия БО;
qdi - удельный вес данной работы в общей трудоемкости домашних работ в целом. Например, для стирки белья - k эфj = 2,6, для химчистки - k эфj = 2,5, для ремонта жилья k эфj = 2,1, для индивидуального пошива платья k эфj = 1,62.
Стоимостная оценка увеличения свободного времени населения за счет расширения прогрессивных форм обслуживания рассчитывается по формуле:
Э3 t =![]()
ΔVбытlj qпрlj kобслij, где (22)
n - число отраслевых групп; j=1, n;
L - число прогрессивных форм обслуживания; l=1, L;
ΔVбытlj - дополнительный объем произведенных услуг, полученный с применением прогрессивной формы обслуживания - ого вида в j-ой отраслевой группе , созданный в результате капиталовложений;
qпрlj - удельный вес услуг, производимых с применением прогрессивной формы обслуживания l - ого вида в j -ой отраслевой группе;
kобслij - коэффициент социальной значимости (стоимость увеличения свободного времени клиента, приходящуюся на 1 тысячу рублей услуг, произведенных с применением прогрессивной формы обслуживания l - ого вида в j -ой отраслевой группе);
Стоимостная оценка увеличения денежных средств населения при ремонте бытовой техники или личных вещей рассчитывается по формуле:
Э4 t =
ΔVбытj qкапj kремj, где (23)
n - число отраслевых групп; j=1, n;
ΔVбытl - дополнительный объем произведенных услуг в j-ой отраслевой группе;
qкапj - удельный вес капитально-восстановительных ремонтов в общей сумме услуг j-ой отраслевой группы;
kремj - коэффициент, отражающий соотношение затрат на покупку нового бытового прибора или личной вещи к затратам на их ремонт в j-ой отраслевой группе.
kремj =
( Цнов - Цбыт) qd /
Цбыт qd ,где (24)
D - число видов ремонта в j -ой отраслевой группе; d=1, D
Цнов - цена нового бытового прибора или личной вещи;
Цбыт - цена ремонта этого бытового прибора или личной вещи;
qd - удельный вес услуг по ремонту d-ого вида, заменяющих данную работу в домашних условиях. Например, для химчистки - kремj = 9,1, для ремонта трикотажа - kремj = 8,8, для ремонта обуви kремj =3,18, для ремонта одежды kремj =1,75.
Стоимостная оценка увеличения свободного времени населения за счет повышения качества бытовых услуг рассчитывается по формуле:
Э5 t =
dp fp d ч, где (25)
P- количество факторов, обуславливающих экономию времени заказчика на единицу услуг; p=1, P
dp - средняя экономия времени заказчика на одну услугу, обусловленная p-ым фактором;
fp - количество заказов, по которым достигается экономия времени заказчика на одну услугу, обусловленная p-ым фактором;
d ч - стоимостная оценка 1 часа свободного времени клиента.
Применим данную методику для оценки эффективности внедрения системы мониторинга в муниципальном округе № 51. Проанализировав результаты первичного обследования, считаем, что, изыскав дополнительные площади для более рационального размещения предприятий бытовых услуг и создания дополнительных рабочих мест, возможно удовлетворить платежеспособный спрос на бытовые услуги в течение не более 5 лет.
На основе данных первичного обследования выделим из неудовлетворенных потребностей по каждому виду услуг те, причиной которых является цена на услуги. Оставшуюся часть можно назвать неудовлетворенным платежеспособным спросам, который составляет для данного муниципального округа 174,5 тыс. услуг в год. В ценах 1999 года это составляет минимально 15,5 млн. рублей.[16]
Расходы на создание и функционирование мониторинга в течение 5 лет, при условии, что в качестве анкетеров будут привлекаться студенты, а ЭВМ в администрации муниципального округа уже имеется, составят не более 50 тыс. рублей. Студентами СПбГИСЭ под руководством автора был проведен анализ хозяйственной деятельности предприятий Санкт-Петербурга, на основании которого можно сделать вывод, что общие налоговые изъятия из бюджета предприятий города составляют не менее 30% от выручки, поэтому доходы бюджета только в виде налогов можно оценить в 4,7 млн. рублей. Расчет по формуле 19 с горизонтом 5 лет (с постепенным наращиванием объема услуг) в базовых ценах без учета инфляции дает бюджетный эффект в размере не менее 16 млн. рублей.
На основании интервью с производителями услуг были определены следующие данные: средняя доходность, среднегодовая выработка на одного работающего, капитальные затраты на создание одного рабочего места2по каждой отраслевой группе предприятий. На основании средней доходности и объемов платежеспособного неудовлетворенного спроса можно оценить среднегодовую чистую прибыль в 1,7млн. рублей. На основании среднегодовой выработки на одного работающего и объемов платежеспособного неудовлетворенного спроса рассчитали, что можно создать дополнительно не менее 50 рабочих мест. Из расчета среднемесячного пособия по безработице в 1999 году за 5 лет (при условии постепенного их создания) социальный эффект от создания рабочих мест составит 1,5 млн. рублей.
