Управление финансовыми результатами
Работа состоит из введения, трех основных частей, заключения, списка использованной литературы, приложений.
В первой главе описываются теоретические основы управления финансовыми результатами деятельности предприятия. В основу положено обоснование необходимости управления прибылеоразованием предприятия, поскольку финансовый результат является интегральным показателем всей деятельности фирмы. Для осуществления эффективного управления рекомендуется организация службы финансового менеджмента, как первичной службы для российских предприятий, описаны механизмы реализации данной задачи, а также приоритетные направлений данной службы.
Во второй главе представлены методологические аспекты управления финансовыми результатами. Рассмотренные методы, позволяют управлять финансовыми результатами с точки зрения различных временных периодов: операционный анализ больше подходит к тактическому управлению прибылью; для выбора стратегической линии развития рассмотрен предельный анализ издержек, прибыли и объемов производства; а динамическое моделирование, основанное на потоковых методах, позволяет сочетать два вида управления – оперативное и стратегическое.
В третьей главе изложено управление финансовыми результатами деятельности ЗАО «Курскрезинотехника». Для более адекватного принятия решений был проведен анализ деятельности ЗАО «Курскрезинотехника» и на его основе выбрано наиболее важное направление в деятельности предприятия – резинотканевая конвейерная лента. Выручка от данного вида продукции составляет 48% в общем объеме выручки предприятия. С учетом ретроспективных данных о деятельности предприятия были применены методы прогнозирования и регрессионного анализа, позволяющие выработать рекомендации по улучшению финансовых результатов.
В целом на основе проведенного исследования по управлению финансовыми результатами деятельности предприятия были получены следующие выводы и разработаны рекомендации:
Управление финансовыми результатами необходимо, так как они позволяют:
· осуществлять стратегические задачи, поддерживать оптимальную структуру и наращивать производственный потенциал предприятия;
· обеспечить текущую финансово-хозяйственную деятельность;
· участвовать хозяйствующему субъекту в осуществлении социальной политики, что улучшает психологический климат на предприятии.
· в рыночных условиях положительных финансовых результатов можно добиться только путем всеобщей реструктуризации управления предприятием, необходима интеграция всех служб и отделов;
Для улучшения финансовых результатов на объекте исследования предлагается осуществить следующие мероприятия.
1) Стремиться увеличить объем производства и сбыта продукции, так как это позволяет оптимизировать издержки и снизить цену на продукцию, что повышает ее конкурентоспособность.
2) Предприятию следует увеличить запас финансовой прочности по цене, поскольку это позволит проводить более разнообразную маркетинговую политику и увеличит страховой запас от риска снижения цены на рынке.
3) Поддерживать ликвидность предприятия, следя за балансом расходов и доходов в каждом конкретном промежутке времени, поскольку их разрыв способен привести к ухудшению ритмичности работы предприятия и в худшем случае к остановке производства, что резко ухудшает конечные результаты работ.
Таким образом, реализация рассмотренного комплекса мероприятий, организация на предприятии службы финансового менеджмента, а также системный подход к управлению финансовыми результатами, позволят повысить эффективность деятельности предприятия, укрепят его позиции на рынке.
приложения
![]() |
Рис.1 Условная шкала степени влияния факторов на прибыль.
![]() |
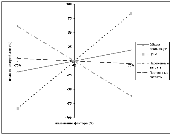
Рис.2 График эластичности прибыли к анализируемым факторам.
Приложение Б
![]() |
Рис.1 График запаса финансовой прочности по анализируемым факторам.
Приложение В
![]() |
Рис.1 График кривых безразличия прибыли по анализируемым факторам.
Приложение Г
Рис.1 Зависимость цены на единицу от объемов выпуска продукции в 1999 году
![]() |
Рис.2 Зависимость издержек на единицу продукции от объемов выпуска в 1999 году.
![]() |
Приложение Д
![]() |
![]() |
Рис.2 Сектор «Формирование и расходование денежных средств»
Приложение Е
![]() |
Рис.1 Сектор «Производство продукции и формирование дебиторской задолжности.
![]() |
Рис. 2 Сектор «Краткосрочный кредит».
Приложение Ж
![]() |
Рис.1 Сектор «Покупка запасов».
![]() |












