АСУ целевыми программами в некоммерческой организации
Рефераты >> Программирование и компьютеры >> АСУ целевыми программами в некоммерческой организации

Рисунок 5  

1.3.3. Функциональная модель процесса разработки и реализации целевых программ в РООИ «СОРАТНИК»

Как видно из структурной схемы АСУ РООИ «СОРАТНИК», представленной на рис. 2, последним уровнем структуризации, является задача. Под задачей принято понимать комплекс вычислительных и логических процедур обработки информации, используемых для реализации конкретных фаз управления в составе отдельного ФУБа.

Проведенный, согласно теме дипломного проекта, анализ процесса управления разработкой и реализацией целевых программ в РООИ «СОРАТНИК» позволяет описать функциональную модель управления данным процессом. Для проектирования и описания вышеуказанной модели в представленном дипломном проекте была использована методология бизнес-процессов GRADE 14 фирмы Infologistik GmbH. Которая предписывает построение иерархической системы диаграмм, основанных на двух фундаментальных концепциях: задачи и события. Сначала производится представление процесса в целом (головной бизнес-процесс «Организация целевых программ»), после чего проводится функциональная декомпозиция – процесс разбивается на подпроцессы и каждый подпроцесс описывается отдельно. Затем каждый подпроцесс разбивается на более мелкие и так далее до достижения нужной степени подробности описания выделяемых задач.

Рисунок 6  

1.3.3.1. Бизнес-процесс «Организация целевых программ»

Рисунок 7  

1.3.3.1.1. Бизнес-процесс «Разработка целевой программы»

Рисунок 8  

1.3.3.1.1.1. Способы выявления возможных вариантов целевой программы

1.3.3.1.1.1.1. Бизнес-процесс «Выявление возможных вариантов целевой программы

Рисунок 9  

отделом работы с инвалидами»

1.3.3.1.1.1.2. Бизнес-процесс «Выявление возможных вариантов целевой программы

Рисунок 10  

отделом маркетинга и рекламы»

Рисунок 11  

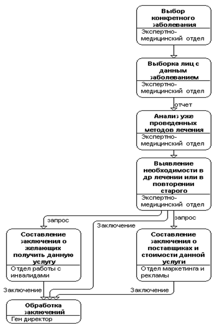
1.3.3.1.1.1.3. Бизнес-процесс «Выявление возможных вариантов целевых программ экспертно-медицинским отделом»

Рисунок 12  

1.3.3.1.1.2. Бизнес-процесс «Составление сметы на целевую программу»

Рисунок 13  

1.3.3.1.2. Бизнес-процесс «Выбор оптимальной целевой программы»

Рисунок 14  

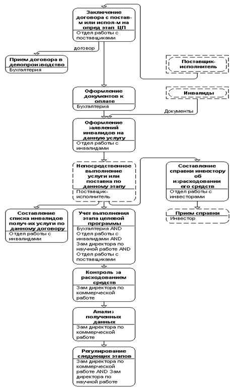
1.3.3.1.3. Бизнес-процесс «Выполнение этапа целевой программы»


Страница: