Ядерные силы
Такие ядра, как 4Ве10, 5В10, 6С10, образуют изотопический триплет, соответствующий трем возможным значениям проекции изотопического спина Т=1, причем ядру 4Ве10. соответствует Т
= – 1, 5В10 — Т
= 0 и 6С10 – Г
= + 1.
Протон и нейтрон можно рассматривать как частицы, образующие нуклонный дублет. Изотопический спин t нуклона равен 1/2, причем протонному состоянию соответствует компонента Т
= +1/2, а нейтронному Т
= — 1/2 Это позволяет выразить заряд Z нуклона (Z равен единице для протона и нулю для нейтрона) через
-компоненту изотопического спина:
Эта формула может быть обобщена на случай, когда система состоит из нескольких нуклонов, получим:
Таким образом, заряд ядра выражается через Т
и число нуклонов, входящих в состав ядра.
Обменные силы
Явление насыщения и короткодействующий характер ядерных сил впервые были объяснены на основе предположения об обменном характере ядерных сил, т. е. что эти силы возникают между двумя частицами благодаря обмену третьей частицей. Такой частицей в случае взаимодействия нуклонов является, по-видимому, мезон. Если состояние двух взаимодействующих нуклонов зависит от их пространственных r1, r2 и спиновых s1, s2 координат, то подобный обмен может осуществляться тремя различными способами.
1) Нуклоны могут обмениваться пространственными координатами, сохраняя неизменными спиновые переменные. Эта возможность была рассмотрена Майорана. Силы, возникающие при таком взаимодействии, получили название сил Майорана.
2) Возможен обмен нуклонов спиновыми переменными при неизменных пространственных координатах. Этот вариант был рассмотрен Бартлеттом. Силы взаимодействия нуклонов при таком обмене получили название сил Бартлетта.
3) Возможен одновременный обмен спиновыми и пространственными координатами. Возникающие при этом обменные силы известны под названием сил Гейзенберга.
Формальное описание обменного взаимодействия осуществляется путем введения в гамильтониан системы таких операторов, которые, действуя на волновую функцию, вызывают перестановку координат или перестановку спинов, либо и тех и других одновременно в зависимости от характера обменных сил.
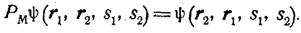
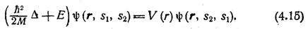
В случае обменных сил Майорана оператор энергии взаимодействия может быть представлен в виде произведения V(r)PM, где V(r) — функция, зависящая от расстояния между нуклонами, а Pm — оператор, меняющий местами пространственные координаты, входящие в волновую функцию:
В случае, если система состоит только из двух нуклонов, оператор Майорана Pm представляет собой оператор инверсии: Рм
Р, и уравнение Шредингера в ц-системе приобретает вид (r = rl — г2)
Случаю сил Бартлетта соответствует оператор Рб, действующий на волновую функцию следующим образом:
Уравнение Шредингера для системы, состоящей из двух частиц, в этом случае может быть записано в таком виде:
Наконец, оператор сил Гейзенберга Рг обладает следующим
свойством:
Уравнение Шредингера для двухнуклонной системы в этом случае имеет вид:
Отметим, между прочим, что обычные (не обменные) силы в теории ядра иногда называются силами Вигнера.
Указывая вид операторов Майорана, Бартлетта и Гейзенберга, мы предполагали, что их координатная часть V(r) зависит только от расстояния между взаимодействующими нуклонами. В этом случае обменные силы будут центральными, благодаря чему не смогут возникать состояния, являющиеся суперпозицией состояний с различными
. Поэтому введение o6менных сил, координатная часть которых обладает центральной симметрией, не может привести к асимметрии поля ядерных сил и, в частности, объяснить возникновение электрического квадрупольного момента у дейтрона; для описания последнего следует ввести еще тензорный потенциал.
Сами по себе тензорные силы не приводят к насыщению , в то время как его могут объяснить силы Майорана и Гейзенберга; поэтому тензорные силы обычно комбинируются с операторами обменных сил ).
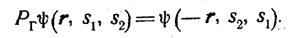
Остановимся теперь на рассмотрении свойств различных обменных сил. Рассмотрим сначала силы Майорана, которым соответствует оператор Pм. Действие Pм на функцию
(r,s1,s2) на
( –r,s1,s2) эквивалентно изменению знака компонент радиуса-вектора r, соединяющего частицы, т. е. эквивалентно замене
(r,s1,s2) на
( –r,s1,s2). Поскольку V(r) зависит только от абсолютной величины r (поле обладает центральной симметрией), можно, используя свойство четности волновой функции, считать, что
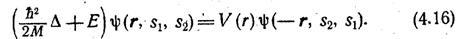
. B таком случае уравнение (4.14) имеет вид:
Из уравнения (4.17) следует, что для четных значений
оператор потенциальной энергии ничем не отличается от оператора потенциальной энергии «обыкновенных» сил — сил Вигнера. Этот вывод имеет большое значение для теории соударения двух нуклонов, так как при столкновении медленно движущихся частиц, когда наблюдается практически только s-рассеяние, невозможно определить, являются ли ядерные силы обменными — силами Майорана или же «обыкновенными» — силами Вигнера. Получить сведения о характере ядерных сил можно, лишь если наблюдается не только s-, но и р-рассеяние. В случае сил Майорана при р-рассеянии (
=1) потенциал взаимодействия меняет знак, т. е. вместо притяжения, наблюдающегося при s-рассеянии, при р-рассеянии будет иметь место отталкивание. Это означает, что знак фазового сдвига
, описывающего р-рассеяние, противоположен знаку
соответствующему s-рассеянию. Знаки же фаз
и
могут быть определены из экспериментов по рассеянию.
