Ядерные силы
Последнее соотношение может быть заменено таким:
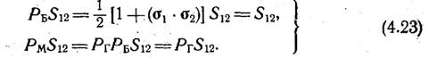
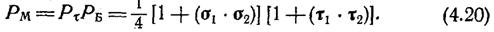
Это позволяет выразить оператор Майорана Рм через операторы P
и Рб*):
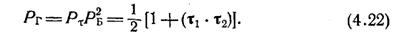
Если же принять во внимание, что оператор рг связан с опеаторами Рм и Рб соотношением
PГ = PМPB, (4.21) , тo для оператора Гейзенберга получаем:
.
Перестановка зарядовых координат, как и следовало ожидать, эквивалентна перестановке пространственных координат и спиновых переменных нуклонов.
Система из двух одинаковых частиц — нейтронов или протонов — должна характеризоваться волновой функцией, симметричной относительно зарядовых координат; поэтому синглетным состояниям такой системы (антисимметричным относительно спиновых переменных) соответствует четная относительно перестановки пространственных координат функция, а триплет-ным состояниям — нечетная.
Выше было указано, что включение в гамильтониан слагаемых, содержащих операторы Рм, РБ и Рг, не может привести к возникновению состояния, являющегося суперпозицией состояний с различными
. Поэтому для объяснения возникновения у дейтрона электрического квадрупольного момента в гамильтониан должны войти члены, соответствующие тензорному взаимо действию.
Тензорные силы также могут быть обычными и обменными. При обычных тензорных силах в гамильтониан входит S12 (см (4.3) ) , а в случае обменных сил берется комбинация PГSl2. Произведения же PБSl2 и PМSl2 включать в гамильтониан не имеет смысла в связи с тем, что по (4.6)
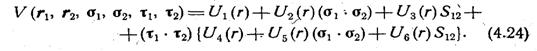
Таким образом, оператор потенциальной энергии, учитывающий зависимость от пространственных, спиновых и зарядовых координат, может быть представлен в виде
Входящие в это выражение операторы соответствуют различным типам взаимодействия. Оператор (
) соответствует обмену спиновыми переменными, (
) — обмену пространственными и спиновыми переменными, (
)(
) — обмену пространственными переменными. Оператор S
учитывает тензорное взаимодействие, a (
)S
— тензорное обменное взаимодействие.
Следует, наконец, указать, что оператор (4.24) представляет наиболее общий тип оператора потенциальной энергии, удовлетворяющий требованию, инвариантности относительно смещений, вращений и инверсии системы координат, при условии, что взаимодействие не зависит от суммарного спина, скоростей и заряда ядра .
Насыщение ядерных сил
Явление насыщения ядерных сил свидетельствует о том, что каждый нуклон, входящий в состав сложного ядра, взаимодейетвует с ограниченным числом частиц. В противном случае, т. е., если бы каждый нуклон взаимодействовал со всеми нуклонами в ядре, энергия связи, как уже отмечалось, была бы пропорциональной числу взаимодействующих пар нуклонов А (А — 1)/2. Используя вариационный принцип, можно показать, что, независимо от формы потенциальной функции, обычные короткодействующие силы притяжения не могут привести к насыщению .
По-видимому, насыщение может возникнуть в том случае, когда ядерные силы, являющиеся силами притяжения, на малых расстояниях переходят в силы отталкивания, что соответствует конечным размерам нуклонов.
Иная возможность объяснения насыщения заключается в предположении, что между нуклонами действуют обменные силы. Однако, как мы увидим ниже, приводят к насыщению не j любые силы этого типа.
Выясним сначала, могут ли обусловить насыщение силы Майорана, для чего предположим, что состояние каждого нуклона можно описать с помощью функции, зависящей только от его координат. Это допущение не находится в противоречии с опытными фактами.
Потенциальная энергия W взаимодействия любого протона, находящегося в состоянии u(r
, s
), с нейтроном в состоянии | u(r
, s
) при наличии сил Майорана имеет вид
Если протон и нейтрон находятся в различных состояниях, функции и(r
) и v (r
) будут ортогональны друг другу, а интеграл W (это очевидно, если предположить, что V(r) можно аппроксимировать с помощью прямоугольной потенциальной ямы; тогда W=0). Энергия взаимодействия двух частиц будет отлична от нуля в том случае, если протон и нейтрон находятся в одном же состоянии. При взаимодействии Майорана нейтрон взаимодействовать с теми протонами, у которых координатная часть волновой функции совпадает с соответствующей волновой функции нейтрона. Согласно принципу Паули в ядре могут находиться два таких протона (с противоположно Ориентированными спинами); поэтому при силах Майорана каждый нейтрон может взаимодействовать с двумя протонами и, наоборот, каждый протон — с двумя нейтронами.
Отсюда можно сделать вывод, что в таких ядрах, как 2Не3,
H2 и ![]()
H3, насыщение наблюдаться не должно, но ядро 2Не4 должно представлять замкнутую систему. Энергия связи, нриходящаяся на частицу, подтверждает сделанный вывод. Если воспользоваться химической терминологией, можно было бы сказать, что каждый нуклон имеет по две «валентные» связи).
Иначе обстоит дело, когда между нуклонами действуют силы Гейзенберга. В этом случае в оператор потенциальной энергии входят операторы Паули, действующие на спиновую переменную, в результате чего знак потенциала различен при параллельных и антипараллельных направлениях спинов взаимодействующих частиц. Поэтому нейтрон может притягивать к себе только один протон, а протон — только один нейтрон. При силах Гейзенберга систему с насыщенными ядерными связями должен был бы представлять дейтрон. Большая энергия связи, приходящаяся на каждую частицу в ядре
Не4, с этой точки зрения объяснена быть не может. Следовательно, приняв, что ядерные силы являются обменными, мы должны либо отдать предпочтение силам Майорана, либо считать, что они представляют собой «смесь» сил Майорана и Гейзенберга, причем большую часть этой «смеси» составляют силы Майорана. (Силы же Бартлетта, при которых отсутствует замена пространственных координат, к насыщению не приводят.)
