Ядерные силы
При рассеянии нейтронов, энергия которых не превосходит нескольких Мэв, практически наблюдается только s-рассеяние, не позволяющее установить обменного характера ядерных сил. Поэтому необходимо исследовать
рассеяние более высоких порядков, наблюдающееся только при
высоких энергиях частиц.
В случае сил Бартлетта, если допустить, что волновая функция может быть представлена в виде произведения двух функций, одна из которых зависит от пространственных координат нуклонов r=r
+r
, а другая — от спиновых переменных, очевидно; Pb будет действовать только на спиновую функцию. Последняя, как известно, симметрична относительно перестановки спиновых переменных, если спин s системы, состоящей из нейтрона и протона, равен единице, и антисимметрична, если s=0.
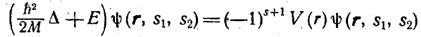
Поэтому уравнение Шредингера в случае наличия сил Бартлетта может быть представлено в виде
и отличается от уравнения с «обыкновенным» потенциалом тем, что потенциал имеет различный знак при s=0 и при s=l. Из опытов по рассеянию нейтронов протонами известно, что в три-плетном и в синглетном состояниях системы нейтрон — протон наблюдается рассеяние, которое может быть объяснено силами притяжения, хотя величина этих сил (глубина потенциальной ямы) оказывается различной. Это обстоятельство наряду с тем, силы Бартлетта, не приводят к насыщению, позволяет утверждать, что ядерные силы не могут быть только силами Бартлетта.
После замечаний, сделанных относительно сил Майорана и Бартлетта, мы можем сразу записать уравнение Шредингера для сил Гейзенберга:
Отсюда видно, что знак потенциала зависит от того, является ли l+s четным или нечетным числом. В частности, при s-рассеянии нейтронов протонами (
=0) знак ( — l)i+s+1V(r) должен быть различным в триплетном и синглетном состояниях. Это также свидетельствует, что ядерные силы не могут быть только силами Гейзенберга.
Различное взаимодействие в триплетном и синглетном состояниях системы протон — нейтрон может быть объяснено, если, например, предположить, что обменные силы представляют собой «смесь» сил Гейзенберга и Майорана. В таком случае оператор потенциальной энергии будет иметь вид
где g — некоторый параметр, который следует выбрать так, чтобы получалось необходимое для объяснения рассеяния взаимодействие в триплетном и синглетном состояниях. При использовании модели прямоугольной ямы ее глубина оказывается ~20 Мэв для триплетногро состояния и ~11,5 Мэв для синглетного. Легко убедиться, что для получения такой глубины следует положить g
0,25. Следовательно, для объяснения рассеяния можно допустить, что обменные силы на 25% являются силами Гейзенберга и на 75'% —силами Майорана.
Однако последнее замечание не означает, что комбинация сил Гейзенберга и Майорана является единственно возможной. В частности, можно было бы получить подходящую величину взаимодействия в триплетном и синглетном состояниях дейтрона, предположив, что ядерные силы являются комбинацией сил Вигнера и Майорана. Опыты по рассеянию быстрых нуклонов заставляют сомневаться в том, что комбинация таких сил может быть использована для описания ядерного взаимодействия.
Покажем, как могут быть выражены операторы PМ, РВ, РГ через операторы Паули о и операторы изотопического спина
. Обратим внимание на то, что из определения операторов PМ, РВ, РГ следует, что двухкратное применение каждого из них оставляет волновую функцию неизменной. Поэтому собственные значения P
, Р
, Р
равны единице, а собственные значения операторов PМ, РВ, РГ равны ±1.
Если снова ограничиться рассмотрением системы из двух нуклонов, то легко видеть, что такие собственные значения операторов обменных сил (±1) связаны с симметрией или антисимметрией волновой функции системы относительно перестановки переменных, характеризующих систему.
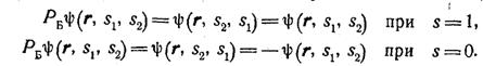
Прежде всего установим связь между оператором рб и операторами Паули
и
протона и нейтрона. Волновая функция триплетного состояния (s=l) симметрична относительно перестановки спиновых переменных s
и s2 нуклонов, а для синглетного состояния (s=0) антисимметрична. Это означает, что
Собственные значения оператора ![]()
![]()
равны — 3 для синглетного и +1 для триплетного состояния. Поэтому оператор рБ может быть представлен в виде
Представим аналогичным образом операторы Майорана и Гей- зенберга. Поскольку компоненты операторов
и
тождественны, можно утверждать, что оператор (
) имеет, как и оператор (
), собственные значения —3 и +1, а оператор Р
=1/2[1+(
)]— значения –1 и +1, причем он должен действовать на зарядовые координаты t
и t2 двух нуклонов точно так же, как оператор (4.18) на спиновые переменные s1 и s2.
Введение зарядовой координаты t эквивалентно признанию существования у нуклона пяти степеней свободы (три пространственных, спиновая и зарядовая координаты). Поскольку система нуклонов, подчиняющихся статистике Ферми — Дирака, должна описываться волновой функцией, антисимметричной относительно перестановки всех координат любой пары нуклонов, волновая функция системы из двух нуклонов
