Экспериментальные термометрические шкалы и методы измерения температур
Логарифмический множитель в правой части этого соотношения равен единице.
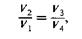
Действительно, если γ = СP/CV не зависит от температуры, то в этом проще убедиться с помощью уравнения адиабаты в форме TVγ-1 = const. Применив это уравнение к адиабатам, получим
Почленное деление приводит к соотношению V2/V1 = V3/V4. Этим соотношением наше утверждение доказано. Но приведенное соотношение справедливо и для таких идеальных газов, у которых величина γ зависит от температуры. Для доказательства замечаем, что
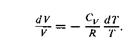
при адиабатическом расширении или сжатии
Отсюда
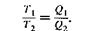
Теплоемкость Сv идеального газа зависит только от температуры. Поэтому при интегрировании последнего уравнения вдоль адиабат получатся одинаковые результаты:
Отсюда
что и доказывает наше утверждение. Следовательно,
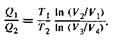
Сравнивая это соотношение с (31.7), получаем
Из этого соотношения следует, что термодинамическая шкала температур станет тождественной с соответствующей температурной шкалой идеального термометра, если в обоих случаях температуре основной реперной точки (или разности температур двух основных реперных точек) приписать одно и то же значение. Поскольку так и поступают на практике, тождественность обеих температурных шкал доказана: Т = θ. Поэтому в дальнейшем термодинамическую и идеально-газовую температуру мы будем обозначать одной и той же буквой Т. Подчеркнем еще раз, что тождественность обеих температурных шкал имеет место для любых идеальных газов, независимо от того, зависит или не зависит их теплоемкость Cv от температуры.
Международная практическая температурная шкала.
Цикл Карно практически никогда не реализуется. А необходимость сравнения результатов измерения температур, проведённых в разных странах, привела к созданию Международной практической температурной шкалы. Впоследствии эта шкала уточнялась. Последний раз это было сделано в 1968 г. Уточнённая в 1968 г. шкала получила название МПТШ – 68.
Международная практическая температурная шкала основана на двенадцати хорошо воспроизводимых точках фазовых переходов, которым присвоены определённые значения температур (первичные реперные точки). Температуры этих точек:
|
Реперные точки МПТШ – 68 |
Температура, К |
|
Тройная точка Н2 |
13,81 |
|
Точка кипения Н2 при 25/75 атм. |
17,042 |
|
Нормальная точка кипения Н2 |
20,28 |
|
Тройная точка О2 |
54,361 |
|
Тройная точка Аr |
83,798 |
|
Точка кипения О2 |
90,188 |
|
Тройная точка Н2О |
273,16 |
|
Точка кипения Н2О |
373,15 |
|
Точка затвердевания Sn |
505,1181 |
|
Точка затвердевания Zn |
692,73 |
|
Точка затвердевания Ag |
1235,08 |
|
Точка затвердевания Au |
1337,58 |
Между первичными реперными точками температурная шкала устанаквливается с помощью интерполяционных формул, дающих соотношение между температурой и показаниями стандартных термометров. Этими термометрами являются:
в интервале температур от 13,81 К до 630,74°С – платиновый термометр сопротивления;
в интервале температур от 630,74°С до 1064°С – платино – родиевая термопара Pt10 Rh/Pt;
в интервале температур от 0,8 К до 5 К – измерение давления насыщенных паров гелия;
выше температуры затвердевания золота (1064°С) применяется оптический пирометр;
ниже температуры 0,8 К используется магнитная восприимчивость некоторых парамагнитных солей.
Методы и технические средства измерения температуры
Устройства для измерения температур
Температуру измеряют с помощью устройств, использующих различные термометрические свойства жидкостей, газов и твердых тел. Существуют десятки различных устройств применяемых в промышленности, при научных исследованиях, для специальных целей.
В таблице 1 приведены наиболее распространенные устройства для измерения температуры и практические пределы их применения.
Таблица 1
|
Термометрическое свойство |
Наименование устройства |
Пределы длительного применения, 0С | |
|
Нижний |
Верхний | ||
|
Тепловое расширение |
Жидкостные стеклянные термометры |
-190 |
600 |
|
Изменение давления |
Манометрические термометры |
-160 |
60 |
|
Изменение электрического сопротивления |
Электрические термометры сопротивления. |
-200 |
500 |
|
Полупроводниковые термометры сопротивления |
-90 |
180 | |
|
Термоэлектрические эффекты |
Термоэлектрические термометры (термопары) стандартизованные. |
-50 |
1600 |
|
Термоэлектрические термометры (термопары) специальные |
1300 |
2500 | |
|
Тепловое излучение |
Оптические пирометры. |
700 |
6000 |
|
Радиационные пирометры. |
20 |
3000 | |
|
Фотоэлектрические пирометры. |
600 |
4000 | |
|
Цветовые пирометры |
1400 |
2800 | |
