Конструктивная схема одноэтажного промышленного зданияРефераты >> Строительство >> Конструктивная схема одноэтажного промышленного здания
c- свес плиты, принимаемый в пределах 40 .60 мм.
Bpl=300+2·50=400мм
Меньший размер плиты:
L рl = 72222/400=180,56мм
Принимаем конструктивно Lрl=220мм
Толщину плиты примем 20мм. Высоту траверс можем принять равной 500мм
Подбор фундаментных болтов
Суммарное усилие в фундаментных болтах (в кН):
Nа=(392-1300*0,457)/0,963=210кН
Общая требуемая площадь фундаментных болтов:
где Rba- расчетное сопротивление фундаментных болтов(Rba=185 МПа = 18,5 кН/см², если болты выполняются из стали марки ВСтЗкп2 ).
Аb=210*1,0/18,5*1,0=11,4 см2
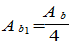
Обычно принимают 4 болта, тогда площадь сечения одного болта нетто:
Аbl =11,4/4=2,85см2
По сортаменту принимаем 4 болта диаметром 20 мм. Глубина заделки=800мм
Рис. 1- База колонны
Схема к определении Na
Список используемой литературы
1.Васильев А.А. Металлические конструкции. –М.: Стройиздат,1979.
2.Сетков В.И., Сербин Е.П. Строительные конструкции: Расчет и проектирование. –М.: ИНФА-М, 2008.
3.Металлические конструкции в 3т. Т 1- Элементы конструкций/Горев В.В., Уваров Б.Ю., и др.-М.; Высшая школа.,2001.
4.Металлические конструкции в 3т. Т 2- Конструкции зданий/Горев В.В., Уваров Б.Ю., и др.-М.; Высшая школа.,2001.
5.Металлические конструкции. Под общ. ред. Л.Р. Маиляна. – Ростов н/Д:Феникс., 2005.
6.СниП 2.01.07-85*. Нагрузки и воздействия.- М.; Стройиздат,1998
7.СниП II-23-81* .Стальные конструкции.- М.; Стройиздат,1998
8.Справочник современного проектировщика. Под общ. ред. Л.Р. Маиляна. – Ростов н/Д:Феникс., 2005.
