Конструктивная схема одноэтажного промышленного зданияРефераты >> Строительство >> Конструктивная схема одноэтажного промышленного здания
Tc= 1,1·0,85·10,5 ·2,4=23,6 кН
Ветровая нагрузка.
Расчетное значение погонной ветровой нагрузки в стойке рамы (кН/м):
С наветренной стороны (положительное давление):
gw= γf·c·K·WоB
gw= 1,4·0,8·1·0,48·6=3,2кН/м
С заветренной стороны
gw´= γf·c´·K·WоB
gw´= 1,4·0,6·1·0,48·6=2,4 кН/м
где γf=1,4 – коэффициент надежности по нагрузке; с, c´ - аэродинамические коэффициенты,
Схема к определению
ветровой нагрузки (для местности типа А) равные в данных условиях
соответственно 0,8 и 0,6
К – коэффициент, учитывающий изменение ветрового давления по
высоте, К=1
Wc- нормативное значение ветрового давления ,
В- шаг поперечных рам,
Ветровая нагрузка (кН), действующая на шатер, заменяется сосредоточенными силами, приложенными на уровне ригеля:
С наветренной стороны Fw= γf·c·K·Wо·B·h
С заветренной стороны Fw´= γf·c´·K·Wо·B·h
где К- коэффициент, равный 1
h- высота шатра, м
Fw= 1,4·0,8·1·0,48·6·3,1=10 кН
Fw´= 1,4·0,6·1·0,48·6·3,1=7,5 кН
Суммарная сила Fwо= Fw+ Fw´ cчитается приложенной к левой стойке рамы на уровне низа ригеля.
Fwо=10+7,5=17,5 кН
В курсовом проекте разрешается считать конструкцию стенового заполнения самонесущей, опирающееся на фундаменты. Поэтому вес стеновых ограждающих конструкций при расчете рамы не учитывается.
Определение усилий в стойках рамы
Фактическая высота верхней части колонны (стойки) (м):
l2=hg+hr+H2-0,15,
где hg – фактическая высота подкрановой балки с учетом выступающей части опорного ребра
hg=600 мм;
hr – высота кранового рельса; hr=120мм
l2=0,6+0,12+3,4-0,15=3,97м
Фактическая высота нижней части колонны (м):
l1=l-l2=11,2-3,97=7,2м
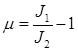
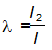
Далее следует предварительно принять соотношение между жесткостями сечений верхней и нижней частей колонны:
где J1; J2 -моменты инерции сечений нижней и верхней частей колонны.
Расчетная схема рамы и характерные сечения стойки
Определение усилий в стойках рамы
Усилия в стойках рамы от постоянной нагрузки
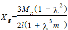
От действия силы Vg( рис.16 ) на уровне ступени колонны вследствие смещения осей верхней и нижней частей стойки возникает изгибающий момент
где е - эксцентриситет, равный приближенно:
е=0.5*(1000-500)=250мм
Мg=286,56*0,25=71,64кН*м
Нормальная сила в ригеле рамы от постоянной нагрузки (то есть лишнее неизвестное) (кН):
Xg= 3*71,64*(1-0,3552)/2*11,2(1+0,3553*9)=5,98кН
где
;
Рекомендуется принимать n= 8…12
В стойках будут действовать изгибающие моменты (рис.17 ):
в сечении 1-1 =71,64-5,98*11,2=-4,7кНм
в сечении 2-2 =71,64-5,98*3,97=47,9кНм
в сечении 3-3 =-5,98*3,97=-23,74кНм
Нормальная сила в стойках рамы (кН) =286,56кН
Поперечная сила в левой стойке
=5,98кН
Рис. 17. Эпюра усилий в раме от постоянной нагрузки
Усилия в стойках рамы от снеговой нагрузки
Значения усилий в стойках рамы от снеговой нагрузки определяются путем умножения соответствующих усилий от постоянной нагрузки на переходной коэффициент К= Vp/ Vg=50,4 /286,56 =0,18
Усилия в стойках рамы от вертикальных крановых нагрузок
От действия сил вертикального давления кранов на уровне консолей в стойках рамы возникают моменты
Mmax= Dmax·ec
ec=0, 5 м
Mmax= 717,36 ·0,5=358,68 кН·м
Mmin= Dmin·ec
Mmin=223,68 ·0,5=111,84 кН·мСхема к определению ес
,
где
Изгибающие моменты в расчетных сечениях левой стойки
Mс 1-1= Xсl- Mmax =19,6·11,2-358,68 = -139,16 кН·м
Mс 2-2= Xсl2- Mmax=19,6·3,97-358,68 = -280,87 кН·м
Mс 3-3= Xсl2 =19,6·3,97=77,8кН·м
Изгибающие моменты в расчетных сечениях правой стойки
Mс ´1-1= Xсl- Mmin=19,6·11,2-111,84=107,7 кН·м
Mс ´2-2= Xсl2- Mmin=19,6·3,97-111,84= -34кН·м
Mс ´3-3= Xсl2 =19,6·3,97=77,8кН·м
Нормальная сила в левой и правой стойках (кН):
N= Dmax=717,36 кН
N’= Dmin=223,68 кН
Поперечные сили в левой и правой стойках (кН):
Q= -19,6 кН
Q’= 19,6 кН
Усилия в стойках рамы от горизонтальных крановых нагрузок
Усилие Х в ригеле (кН):
Изгибающие моменты в расчетных сечениях левой стойки:
MТ 1-1=±[ 23,6*7,23-4,1*11,2] =±124,7 кН·м
MТ 2-2= MТ 3-3=±4,1·3,97=±16,3Н·м
Изгибающие моменты в расчетных сечениях правой стойки:
MТ 1-1=±4,1·11,2=±45,92 кН·м
MТ 2-2= MТ 3-3=±4,1·3,97=±16,3 Н·м
Поперечная сила в нижней части левой стойки Q=±( Xс-Tc)= ±4 кН
в правой стойке Q=±XТ=±4,1 кН
Эпюры моментов в раме от горизонтальной крановой нагрузки
Усилия в стойках рамы от ветровой нагрузки
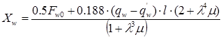
Нормальная сила в ригеле (кН) от положительного ветрового давления:
Усилия в левой колонне при ветре слева
Изгибающие моменты в расчетных сечениях левой стойки:
Mw1-1= (12,1-17,5) ·11,2-(3,2·11,22/2)=-261 кН·м
Mw2-2= Mw3-3=(12,1-17,5) ·3,97-(3,2·3,972/2) = - 46,7 кН·м
Нормальная сила:Nw=0
Поперечная сила:
-в верхней точке колонны
