Конструктивная схема одноэтажного промышленного зданияРефераты >> Строительство >> Конструктивная схема одноэтажного промышленного здания
6.Расчет колонны
Определение расчетных усилий.
Расчетные усилия для верхней (сечение 3-3) и нижней (1-1) частей колонны принимаем по таблице
М1=392 кН·м
N1=1279 кН
М3=128 кН·м
N3= 1279 кН
Определение расчетных длин.
l1 =7230мм– длина подкрановой части колонны;
l2 =3970мм– длина надкрановой части колонны.
Расчетные длины частей колонны в плоскости рамы
lx2ef=μ2l2=3·3,97=11,9м
lx1ef=μ1l1=2,5·7,23=18,1м
Расчетные длины частей колонны из плоскости рамы
lу2ef=l2-hg=3,97-0,6=3,37м
ly1ef=l1=7,23м
Расчет верхней части колонны.
Предварительный подбор сечения.
Требуемая площадь поперечного сечения (см2)
Атр>Nγn(1,25+2,8ex/h2)/Ryγc
где ех=M/N =400/1300=0,31м
Атр>1300·1(1,25+2,8·0,31/0,5)/33·1=118 см2
Атр ≥ 118 см2
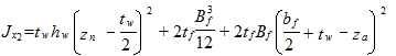
Толщину стенки принимаем tw=10мм
Площадь поперечного сечения стенки Aw=tw·hw
где hw – высота стенки: hw=h2-2tf=500-2·20=460мм
tf- толщина пояса колонны: tf=10…20мм
Aw=tw·hw=1·46=46см2
По конструктивным требованиям принимаем ширину полки
Bf= 180мм=18 см
Аf=2 Bf tf=2·18·2=72см2
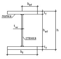
Рис. Вычисление геометрических характеристик сечения
Фактическая площадь сечения (см2)
А2=hw·tw+2·Bf·tf
А2=46·1+2·18·2,0=118 cм2
Моменты инерции (см4)
Iy=2·tf·Bf3·/12=2·2,0·183·/12=1944см4
Ix=tw·hw3/12+2·Bf·tf·(h2/2+tf/2)2= 1·463/12+2·18·2,0·(50/2+2,0/2)2=56783см4
Момент сопротивления (см3)
Wx=2· Ix/h2=2· 56783/50=2271 см3
Ядровое расстояние (см) rx=Wx/A2=2271/118=19,3 см
Радиусы инерции (см)
ix=√(Ix/A2)=√(56783/118)=21,9 cм
iу=√(Iу/A2)=√(1944/118)=4,1 cм
Проверка устойчивости верхней части колонны в плоскости действия изгибающего момента.
Гибкость верхней части колонны в плоскости рамы
λх= lx2ef/ ix=1120/21,9=51,1
Условная гибкость λх= λх√(Ry/E)=51,1√(33/20600)=2,1
Оптимальный эксцентриситет m=ex/rx=31/19,3 =1,61
Проверка устойчивости осуществляется по формуле
N/φе·A2<Ryγc/γn
1300/0,435·118<33·1,0/1,0
25<33
Условие выполняется
Проверка устойчивости верхней части колонны из плоскости действия изгибающего момента.
Наибольшее значение изгибающего момента в пределах средней трети высоты верхней части колонны
M´x=2/3 Mx, где Мх- расчетный изгибающий момент в сечении 3-3
M´x=85,3 кН·м
Относительный эксцентриситет mx= M´x/N*rx=85,3/1300·0,193=0,34
Величина коэффициента с вычисляется по формуле с=β/(1+α·mx)
с=1,0/(1+0,8· 0,34)=0,79
Гибкость верхней части колонны в плоскости рамы
λу= lу2ef/ iу=337/4,1=82
Проверка устойчивости осуществляется по формуле
N/с·φу·A2<Ryγc/γn,
где φу – коэффициент продольного изгиба относительно оси Y-Y
1300/0,66·118·0,79=21,1<33·1,0/1,0=33
21,1<33
Проверка устойчивости поясов верхней части колонны
Отношение расчетной ширины свеса поясного листа Bef к его толщине tf не должно превышать для двутаврового сечения величины
Bef/tef=(0,36+0,1 λx)√(E/Ry)= (0,36+0,1·2,1)√(20600/33)=14
Ширина свеса Bef=(Bf-tw)/2=(18-1)/2=8,5 см
46/1=46<57,5
Значит, укреплять стенку поперечными ребрами жёсткости не надо.
Расчет нижней части колонны
Предварительное определение усилий в ветвях
Подкрановая ветвь колонки принимается из прокатного двутавра, наружная - из сварного швеллера.
Ориентировочное положение центра тяжести поперечного сечения нижней части колонны
y1=392·0,98/(392+392)=49 см
Где M1, M2 - абсолютные величины расчетных изгибающих моментов, догружающих подкрановую и наружную ветви;
ho=h-zo=100-2=98cм ; h=100см, zo=2…3 см
y2=ho-y1=98-49=49 см
Нормальные силы соответственно в подкрановой и наружной ветвях
Nb1=N1y2/ho+│M1│/ho= 1300·49/98+392/0,98=650кН
Nb2=N2y1/ho+│M2│/ho=1300·49/98+392/0,98=650 кН
Поперечное сечение нижней части колонны
Подбор сечений ветвей
Требуемая площадь поперечного сечения подкрановой ветви
Атр.1= Nb1γn/Ryγcφ=650·1/33·1·0,75=26,3 см2
где φ- коэффициент продольного изгиба, принимаемый в пределах 0,7…0,8
Высота двутаврового сечения для обеспечения устойчивости ветви из плоскости рамы должна составлять b>l1/30=241 мм
Принимаем двутавр №30 с Аb1=46,5 см2
Требуемая площадь поперечного сечения наружной ветви
Атр.2= Nb2γn/Ryγcφ=650·1/33·1·0,75=27 см2
Принимаем швеллер с hw= 320мм, tw= 8мм Bf = 75 мм tf =10мм
Аb2=32*0,8+7,5*1*2=40,6см2
Уточнение усилий в ветвях
Для уточнения нормальных сил в ветвях необходимо найти фактические значения zo, y1, y2
zo=(hwtw2/2+2bftf(bf/2+tw))/(hwtw+2bftf) zo=1,9см
ho=h-zo=100-1,9=98,1cм ;
y1=Аb2ho/(Ab1+Ab2)=45,7 см
y2=ho-y1=98,1-45,7=52,4 см
Вычисление геометрических характеристик сечения наружной ветви
Момент инерции относительно осей y-y и x2- x2;
;
Iy=0,8·323/12+2·7,5·1(30-1,0)2 /4=5338,3 см4
где B- расстояние между наружными гранями полок сварного швеллера
Ix2= 0,8·32(3,7-0,4)2+2·1·7,53/12+2·1·7,5(3,75+0,8-3,7)2=360 см4
Радиусы инерции относительно оси Y-Y и Х2 - Х2
iy=√(Iy/Ab2)=11,5см
iх=√(Iх2/Ab2)=2,98см
Проверка устойчивости ветвей из плоскости рамы
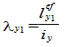
- Подкрановой ветви относительно оси y-y
где iy - радиус инерции двутаврого сечения, определяемый по табличным данным ( ось y-y - см.рис.20).
λy1=723/11,5=63
- Проверка устойчивости подкрановой ветви:
где y -коэффициент продольного изгиба относительно оси y-y
σ=650/46,5=14<0,962*33*1/1=31,8
-Гибкость наружной ветви относительно оси y-y
где iy - радиус инерции швеллерного сечения.
λy2=723/11,5=63
Расчет базы колонны.
Площадь опорной плиты подкрановой ветви:
где
- расчетное сопротивление бетона смятию
(рекомендуется принижать бетон класса B12,5, для которого Rb=7,5МПа=0,75 кН/см²
Атр.рl=650·1,0/1,2·0,75·1=722,2 см2
Больший размер опорной плиты в плане(рис. 25):
где B- высота двутаврого сечения ветви колонны;
