Башенные краны и другие машины, используемые в строительствеРефераты >> Строительство >> Башенные краны и другие машины, используемые в строительстве
2.2 Определение весовых параметров крана
Укрупненное распределение обшей массы крана:
· масса металлоконструкций:
G м.к. = 0,41 * G, кН(2.2.1)
в том числе:
- вес стрелы:
G с = 0,035 * G, Н,(2.2.2)
- вес башни:
G б = 0,13 * G, Н(2.2.3)
- вес поворотной платформы:
G п.п. = 0,1 * G, Н(2.2.4)
- вес неповоротной рамы:
G н.р. = 0,145 * G, Н(2.2.5)
где G - общий вес крана, Н.
· общий вес механизмов и электрооборудования:
G мех = 0,25 * G, кН(2.2.6)
в том числе:
- вес крюковой подвески и грузового полиспаста:
G г.пол. = 0,005 * G, Н(2.2.7)
- вес механизма подъема груза:
G м.г. = 0,04 * G, Н (2.2.8)
- вес механизма изменения вылета:
G м.в. = 0,04 * G, Н(2.2.9)
- вес механизма вращения крана:
G м.вращ. = 0,03 * G, Н (2.2.10)
- вес механизма передвижения крана:
G м.пер. = 0,04 * G, Н (2.2.11)
- вес стрелоподъемного полиспаста:
G стр.пол. = 0,005 * G, Н (2.2.12)
- вес ходовых тележек и колес:
G ход. = 0,07 * G, Н (2.2.13)
- вес кабины управления:
G каб. = 0,02 * G, Н (2.2.14)
где G - общий вес крана, Н.
вес балласта (противовеса):
G бал. = 0,34 * G, Н (2.2.15)
Определение весовых параметров крана
Таблица 2.2.1
|
весовые параметры крана |
вес |
|
масса металлоконструкций |
278,8 |
|
в том числе | |
|
вес стрелы |
23,8 |
|
вес башни |
88,4 |
|
вес поворотной платформы |
68 |
|
общий вес механизмов и электрооборудования |
170 |
|
в том числе | |
|
вес крюковой подвески и грузового полиспаста |
3,4 |
|
вес механизма подъема груза |
27,2 |
|
вес механизма изменения вылета |
27,2 |
|
вес механизма вращения крана |
20,4 |
|
вес механизма передвижения крана |
27,2 |
|
вес стрелоподъемного полиспаста |
3,4 |
|
вес ходовых тележек и колес |
47,6 |
|
вес кабины управления |
13,6 |
|
вес балласта (противовеса) |
231,2 |
2.3 Расчет и построение грузовой характеристики
Грузовая характеристика есть закономерность изменения грузоподъемное т при изменении вылета крюка. При этом, как правило, грузовой момент остается постоянным.
После конструктивной проработки конструкции крана, исходя из геометрических и весовых параметров, а также по аналогии с существующими кранами определяем координаты центра тяжести крана. Кран установлен на горизонтальной площадке, стрела максимально опущена.
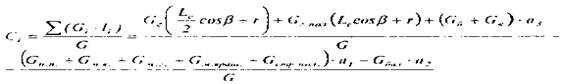
Расстояние от оси вращения крана до центра тяжести крана (горизонтальная координата) при установке крана на горизонтальной площадке:
Где G – вес крана, Н
Gi – вес i –го элемента крана, Н
Ii – расстояние от оси вращения крана до центра тяжести i-го элемента крана, м.
Gс – вес стрелы, Н
Lс – длина стрелы, м
r – расстояние от оси вращения крана до оси пяты стрелы, м
Gг.пол. – вес крюковой подвески и грузового полиспаста, Н
Gб – вес башни с кабиной управления, Н
Gк – вес кабины управления, Н
aз - расстояние от оси вращения крана до оси башни, м
Gп.п. – вес поворотной платформы, Н
Gм.в. – вес механизма изменения вылета, Н
Gм.п. – вес механизма подъема груза, Н
Gм.вращ. – вес механизма вращения крана, Н
Gстр.пол. – вес стрелоподъемного полиспаста, Н
а1 = 2 – расстояние от центра тяжести ходовой части до центра тяжести поворотной платформы
Gбал. – вес противовеса, Н
а1 = 3,5 – расстояние от оси вращения крана до центра тяжести балласта, м.
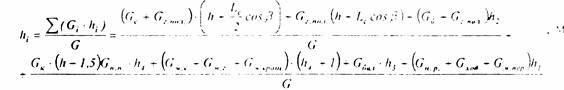
Расстояние от плоскости, проходящей через опорный контур, до центра тяжести крана:
Где G – вес крана, Н
Gi – вес i –го элемента крана, Н
hi – расстояние от опорной поверхности крана до центра тяжести i-го элемента крана, м.
Gс – вес стрелы, Н
Gг.пол. – вес грузового полиспаста и крюковой подвески, Н
h – высота стрелы, Н
Gб – вес башни, Н
Gстр.пол. – вес стрелоподъемного полиспаста, Н
h2 = h\2 - расстояние от плоскости, проходящей через опорный контур до центра тяжести башни, м
Gкаб – вес кабины управления, Н
Gп.п. – вес поворотной платформы, Н
h4 = 2,5 – расстояние от плоскости, проходящей через опорный контур, до центра тяжести поворотной платформы, м
Gм.в. – вес механизма изменения вылета, Н
Gм.п. – вес механизма подъема груза, Н
Gм.вращ. – вес механизма вращения крана, Н
h3 = 4 – расстояние от плоскости, проходящей через опорный контур, до центра тяжести балласта, м
Gн.р. – вес неповоротной рамы, Н
Gхад – вес ходовых тележек и колес, Н
Gм.п. – вес механизма передвижения крана, Н
h1 = 1 расстояние от плоскости, проходящей через опорный контур, до центра тяжести ходовой рамы, м.
Определяем величину удерживающего момента при расположении крана на уклоне по формуле:
Муд = G [(b + ci) cos a – hi sin a], Нм(2.3.3)
Где G – вес крана, Н
b = k\2 – расстояние от оси вращения крана до ребра опрокидывания, м
К – колея ходовой части крана, м
сi - расстояние от оси крашения крана до центра тяжести крана в горизонтальной плоскости, м:
hi - расстояние от опорной поверхности крана до центра тяжести крана в вертикальной плоскости, м.
а - 3° - максимальный угол уклона опорной поверхности (для всех вариантов).
Определяем ориентировочную грузовую характеристику, исходя из построения грузового момента:
Qi = Mгр / 10Li, Н(2.3.4)
Где Мгр = Q max * L min – момент грузовой устойчивости, кНм;
