Расчёт металлического каркаса многоэтажного зданияРефераты >> Строительство >> Расчёт металлического каркаса многоэтажного здания
Определим сосредоточенные силы:
Р1= (1,31+1,31)∙1,8+(0,98+0,98)∙1,8=8,26кН
Р2=(1,31+1,31)∙1,8+(0,98+098)∙1,8=8,26кН
Р3=(1,31+1,33)∙1,8+(0,98+0,99)∙1,8=8,31кН
Р4=(1,33+1,49)∙1,8+(0,99+1,11)∙1,8=8,89кН
Р5=(1,49+1,67)∙1,8+(1,11+1,25)∙1,8=9,97кН
Р6=(1,67+1,79)∙1,8+(1,25+1,34)∙1,8=10,92кН
Р7=(1,79+1,89)∙1,8+(1,34+1,42)∙1,8=11,62кН
Р8=(1,89+1,99)∙1,8+(1,42+1,49)∙1,8=12,26кН
Р9=(1,99+2,1)∙1,8+(1,49+1,58)∙1,8=12,93 кН
Р10=(2,1+2,22)∙1,8+(1,58+1,66)∙1,8=13,62 кН
Р11=(2,22+2,29)∙1,8+(1,66+1,72)∙1,8=14,21 кН
Р12=(2,29+2,38)∙1,8+(1,72+1,79)∙1,8=14,75 кН
Р13=(2,38+2,39)∙1,8+(1,79+1,799)∙1,8=15,07 кН
Р14=(2,39+2,41)∙1,8+(1,799+1,8)∙1,8=15,18 кН
Р15=(2,41+2,43)∙1,8+(1,81+1,83)∙1,8=15,3 кН
Р16=(2,43+2,46)∙1,8+(1,83+1,84)∙1,8=15,43 кН
Р17=(2,46+2,52)∙1,8+(1,84+1,89)∙1,8=15,68 кН
Р18=2,52∙1,8+1,89∙1,8=7,94 кН
расчет на горизонтальную нагрузку
ΣРIII=7,94+15,68+15,43+15,30+15,177+15,07=84,61 (кН).
ΣРII=14,75+14,21+13,62+12,93+12,25+11,62=79,39 (кН).
ΣРI=10,92 +9,97+8,89+8,32+8,25+8,25=54,61 (кН).
Рис. Схема действия нагрузок
Фактические изгибающие моменты:
,
где MЖ – момент в жестком узле;
MШ – момент в шарнирном узле;
- сумма нагрузок уровня;
hЭТ – высота уровня;
4– количество колонн;
K – коэффициент, определяющий жесткость узла.
;
,
,
где
- момент инерции ригеля;
- момент инерции колонны;
- длина колонны;
- длина ригеля;
III уровень крайняя колонна:
W=815,1/240*103=0,000625м3
По сортаменту принимаем двутавр колонного типа 23К2;
(м2),
(м4), iх=10см.
σ=M/W=15,1/0,00661=2,28*103<240*103Па
II уровень средняя колонна:
W=39,59/240*103=0,000164м3
По сортаменту принимаем двутавр колонного типа 20К1;
(м2),
(м4), iх=8,5см.
σ=M/W=39,59/0,00528=7,5*103кПа<240*103кПа
I уровень крайняя колонна:
W=10,01/240*103=0,000041м3
По сортаменту принимаем двутавр колонного типа 20К1;
(м2),
(м4), iх=8,5см.
σ=M/W=10,01/0,00528=1,9*103кПа<240*103кПа
Вывод: был произведен расчёт колонн на вертикальные и горизонтальные нагрузки и подобранны номера двутавров типа колонные для обоих вариантов. Из сравнительного анализа видно, что для проектирования необходимо взять колонны сечением из расчёта на вертикальные нагрузки.
Таблица 3 Номера колонн и их изгибная жесткость
|
Уровень |
Крайняя колонна |
Средняя колонна |
|
I |
35К2: А=160∙10-4м2
W=2132∙10-6м3 |
40К4: А=308,6∙10-4м2 J=98340∙10-8м4 W=4694∙10-6м3 |
|
II |
26К3: А=105,9∙10-4м2 J=13559,99∙10-8м4 W=1035∙10-6м3 |
35К3: А=184,1∙10-4м2 J=42969,99∙10-8м4 W=2435∙10-6м3 |
|
III |
20К1: А=52,8∙10-4м2 J=3820∙10-8м2 W=392∙10-6м3 |
26К1: А=83,08∙10-4м2 J=10299,99∙10-8м4 W=809∙10-6м3 |
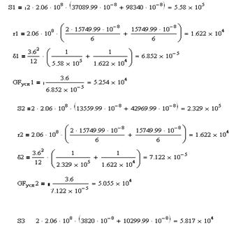
5. Определение жесткостных и инерционных параметров
Определение условной изгибной и сдвиговой жесткостей рамы
Условную изгибную жесткость рамы определяем для каждого уровня по формуле:
,
где E – модуль упругости;
– момент инерции i – ой стойки;
– площадь i – ой стойки рамы;
– расстояние от оси рамы до осевой линии рамы.
Сдвиговую жесткость рамы определяем также для каждого уровня по формуле:
,
где
– высота этажа;
, где
– сумма погонных жесткостей колонн;
– сумма погонных жесткостей ригеля.
