Расчёт металлического каркаса многоэтажного зданияРефераты >> Строительство >> Расчёт металлического каркаса многоэтажного здания
М1=51345,26/9,8=5239,31 (т).
Дальше введем матрицы жесткости здания и масс в программу «DINCIB» и определим частоты и формы колебаний:
VII. Определение пульсационной составляющей ветровой нагрузки
Пульсационная составляющая ветровой нагрузки определяют в зависимости от соотношения первой частоты колебания и предельной частоты, при котором допускается не учитывать силы инерции. Эти частоты вычисляются в Гц. Определяем круговые частоты:
;
(Гц);
(Гц);
(Гц);
По СНиП 2.01.07-85 “Нагрузки и воздействия” определяем предельное значение частоты собственных колебаний fе. Так как здание со стальным каркасом при наличии ограждающих конструкций, то логарифмический декремент колебаний равен
и II ветровой район, то fе =0,95Гц.
Сравниваем частоту собственных колебаний с предельной частотой собственных колебаний:
при этом здание симметричное в плане значит, расчет ведем по третьему случаю:
, (3)
где m – масса сооружения на уровне z;
- коэффициент динамичности, определяемый в зависимости от параметра
и логарифмического декремента колебаний
(в данном случае δ=0,3);
- коэффициент надежности по нагрузке, равный 1,4;
- нормативное значение ветрового давления, равное 0,23 (кПа);
y – горизонтальное перемещение сооружения на уровне z по первой форме собственных колебаний;
- коэффициент, определяемый посредством разделения сооружения на r участков, в пределах которых ветровая нагрузка принимается постоянной, по формуле:
, (3)
где
- масса k-го участка сооружения;
- горизонтальное перемещение центра k-го участка;
- равнодействующая пульсационной составляющей ветровой нагрузки на k-й участок сооружения, определяемой по формуле:
;
где ζ – коэффициент пульсаций давления ветра на уровне z, принимаемый по табл.7[4];
ν – коэффициент пространственной корреляции пульсаций давления ветра;
![]()
- нормативное значение средней составляющей ветровой нагрузки на уровне z, определяется по формуле:
где k – коэффициент, учитывающий изменение ветрового давления по высоте;
с – аэродинамический коэффициент, равный 1,4;
1) z1= 16,8м
z2= 33,6м
z3= 50,4м
2)
; по чертежу 2[4] находим ξ=1,8
3)
=0,3×0,786×1,4=0,33 (кН/м2);
=0,3×1,02×1,4=0,43 (кН/м2);
=0,3×1,04 ×1,4=0,44 (кН/м2);
ζ1=0,965; ζ2=0,839;ζ3=0,769
(кН/м2);
(кН/м2);
(кН/м2);
(кН/м2);
(кН/м2);
(кН/м2);
Определим итоговую суммарную составляющую ветровую нагрузку на здание ΣРi=РI×n+WpiΣ. Для этого сначала найдем среднюю составляющую ветровой нагрузку, которая приходит на расчётную раму, приведённая к сосредоточенным силам в уровне перекрытия:
ΣW1=283,046+54,61=337,66 (кН)
ΣW2=566,09+79,39=645,48 (кН)
ΣW3=1611+54,61=1665,61 (кН)
(кН);
Определяем вектор перемещений:
;
[V]=
(м) ;
Определяем усилия, действующие на раму и диафрагму:
;
;
[Pд]=
[Pр]=
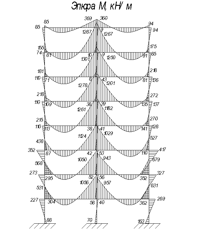
VIII. Расчёт рамы на вертикальную и горизонтальную нагрузку
Используя программу Shape нарисуем раму и, приложив полученные нагрузки, построим эпюры от 3-го суммарного загружения.


Узел № 4:Узел № 13:Узел № 20:
87+352-438 = 042+1029+53-1124=0 362+269-631=0
![]() |
IX. Уточнение элементов сечения
9.1 Уточнение сечения ригеля

